2022年高考全国乙卷数学(理)试卷真题与答案解析
时间:
数学试题
目前,2022年高考全国乙卷数学(理)试卷待高考试题公布后,本站会第一时间更新2022高考全国乙卷数学(理)试卷,供广大考生及家长对照、估分、模拟使用。
全国乙卷数学(理)试卷真题及答案解析
适用地区
河南、安徽、江西、山西、陕西、黑龙江、吉林、甘肃、内蒙古、青海、宁夏、新疆
其它科目
2022年高考全国乙卷语文试卷真题与答案解析
2022年高考全国乙卷(文)数学试卷真题与答案解析
2022年高考全国乙卷英语试卷真题与答案解析
2022年高考全国乙卷理综试卷真题与答案解析
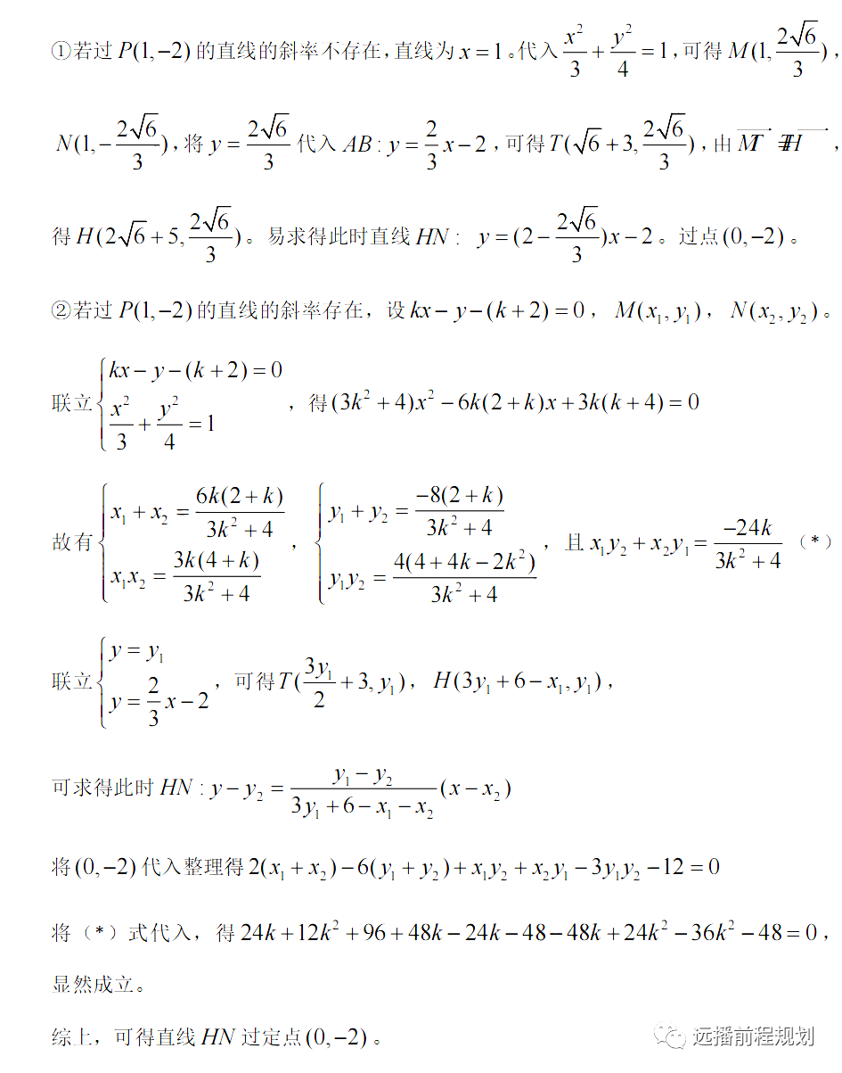
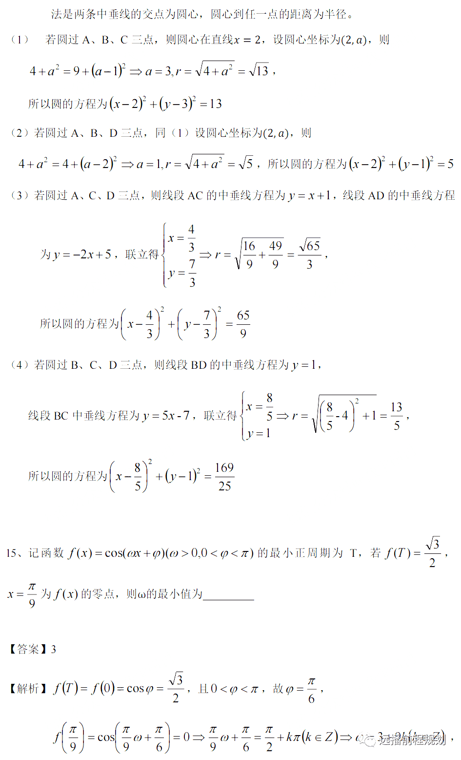
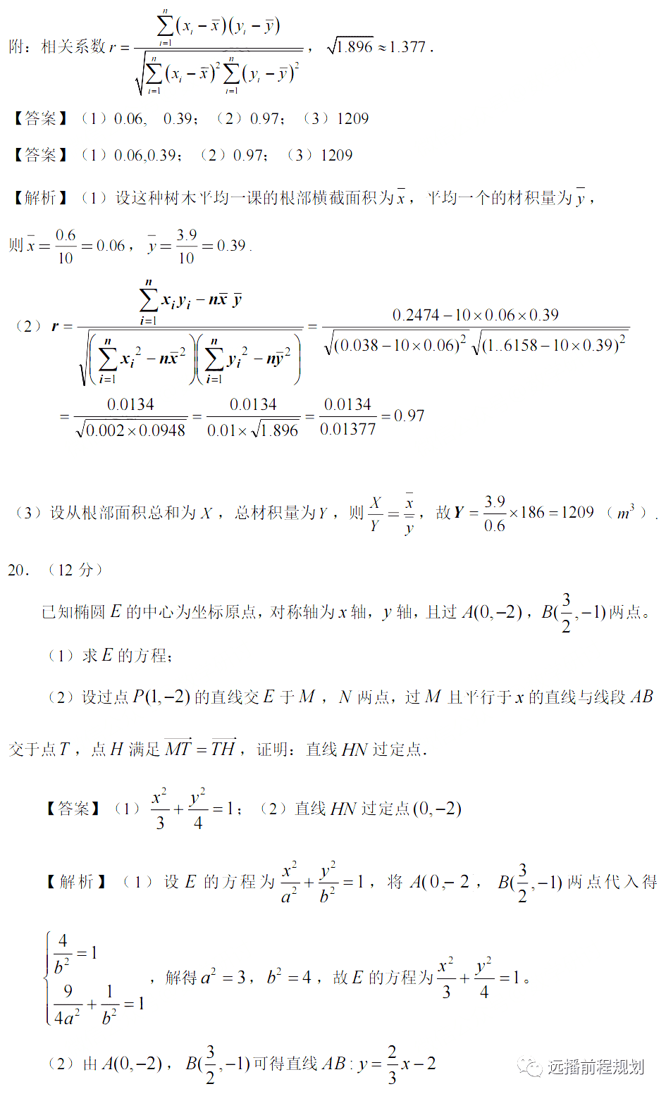
2022年高考全国乙卷文综试卷真题与答案解析


