2021浙江学考选考最新政策方案
浙江省教育厅新出台《关于进一步做好学考选考工作的通知》,明确了普通高中学业水平考试实施办法和选考赋分细化举措。

学考科目如何安排?
从2020年入学的高一学生开始,学考按年级定时定科统一安排,同一年级统一科目统一时间开考。各科目考试时间为:高一下学期考历史、地理、化学、生物学;高二上学期考物理、思想政治;高二下学期考语文、数学、技术;高三上学期考外语,此次外语成绩既用于评定学业水平等级又可用于高考。
根据我省普通高中实施新课程新教材的相关要求,学考科目按照必修课程教学要求统筹安排,学完即考。一是严格控制并开科目。根据《国务院办公厅关于新时代推进普通高中育人方式改革的指导意见》精神,高一年级并开学考科目不得超过9门,高一考试科目不超过4门。二是保证学科教学的均衡性和延续性。定学期定科目定时间安排考试,有利于同一学科学考教学和选考教学的衔接。三是统筹学考和选考安排。各中学应按照国家和我省有关要求,合理组织必修课程教学,不过早结束新课,不长时间停课复习。
学考各科目的卷面分值有什么变化?
除语文、数学、外语保持不变以外,其余各科满分均由原先的70分变为100分。
2019级和2020级学生是否分卷考试?
2019级学生按原学考办法执行。
考虑到考试办法、课程要求等变化,2019级和2020级学生的学考将实行分别命题、分卷考试、分别划等。
学考不合格还有机会补考吗?
普通高中在校生均须在规定时间参加相关科目的考试,每科考一次。如果某科目成绩不合格,可申请再次考试。相应科目学考合格方能报考同科目的选考。
选考科目等级赋分的分差如何由3分改为1分?
经多次专家研究、多方论证,将原赋分办法的21个等级划分为20个赋分区间,赋分分差由3分细化为1分。原先的第1(1%,100分)、第2(2%,97分)两个等级合并为1个赋分区间,其余不变。第1区间为100-97,第2区间为96-94,第3区间为93-91,以此类推,第20区间为42-40。

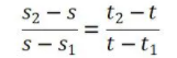
具体步骤为:
第一步,将卷面得分按人数比例划分为20个赋分区间,得出每个区间卷面得分的上限、下限。
第二步,对每个区间的卷面得分进行等比例转换,公式为:

其中,s2、s1为卷面得分区间的上限和下限,s为待转换卷面得分;t2、t1为赋分区间的上限和下限,t为卷面得分等比例转换后的赋分。
第三步,将转换结果四舍五入后即为等级赋分。
举例说明:赋分区间为87-85,如对应的卷面得分区间为84-81,某考生的卷面得分为83,通过等比例转换:

可以得出t=86.3,四舍五入取整后的等级赋分为86分。
选考科目的保障基数是如何考虑的?
根据《浙江省人民政府关于进一步深化高考综合改革试点的若干意见》和《浙江省普通高校招生选考科目考试实施办法》等有关规定,我省“率先建立物理选考科目保障机制,物理选考科目保障数量确定为6.5万人,当其他科目出现类似情况,参照物理办法建立并执行保障机制,具体办法由省教育行政部门负责制定实施”。物理保障机制启用后,对稳定预期、促进选课平衡起到了良好的作用。同时,各选考科目的保障基数实施一个统一的标准,也是保持各科目赋分规则一致、确保公平的需要。按照文件精神,综合各方面因素,现明确所有选考科目保障基数为6.5万人。
浙江学考考试实施
(一)考试科目与内容。语文、数学、外语(含英语、日语、俄语、德语、法语、西班牙语)、思想政治、历史、地理、物理、化学、生物学、技术(含信息技术、通用技术)实行全省统一考试。外语(含听力)使用高考全国卷,由教育部考试中心命题。其余科目由浙江省自主命题,考试内容为必修内容。
(二)考试时间与安排。按年级定时定科统一安排,同一年级统一科目统一时间开考。根据必修课程教学安排和“学完即考”的原则,各科目考试时间为:
高一下学期考历史、地理、化学、生物学;
高二上学期考物理、思想政治;
高二下学期考语文、数学、技术;
高三上学期考外语,此次外语成绩既用于评定学业水平等级又可用于高考。
卷面分值外语150分,其余科目各100分;考试时间外语120分钟,语文、数学各80分钟,思想政治、历史、地理、物理、化学、生物学、技术各60分钟。考试采用笔试形式,统一安排在标准化高考考点进行。
(三)报考要求。普通高中在校生均须在规定时间参加相关科目的考试,每科考一次。如果某科目成绩等级不合格,可申请再次考试。相应科目学考合格方能报考同科目的选考。
(四)体育与健康、音乐、美术、综合实践活动和劳动等科目的考核评价由各设区市教育行政部门依据有关规定组织实施。



