mksports - >浙江高考 >浙江高考复习 >浙江高中数学 >

宁波九校2024-2025学年高一上学期期末数学试题及答案

时间: 浙江 高中数学

浙江省宁波市九校2024-2025学年高一上学期期末数学考试已于近日开考,为方便考生考后及时查看考试情况,查漏补缺、弥补不足,本文整理了试题答案解析相关信息!

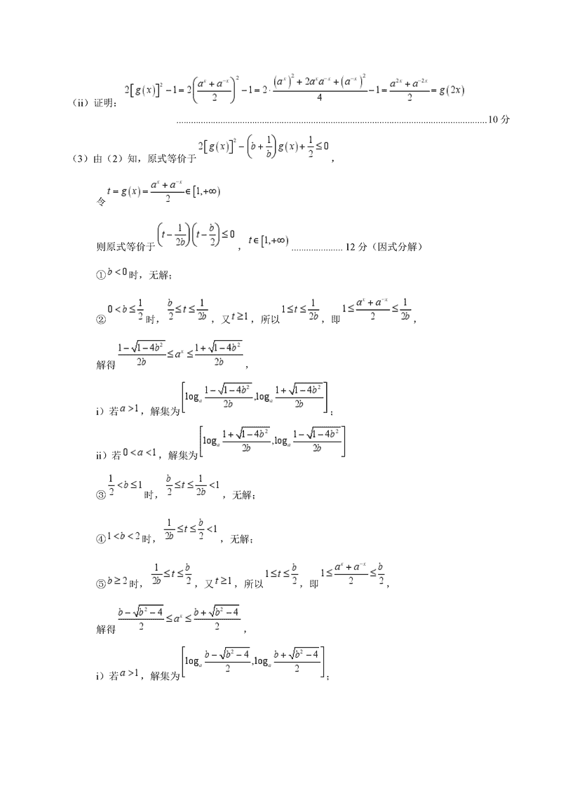
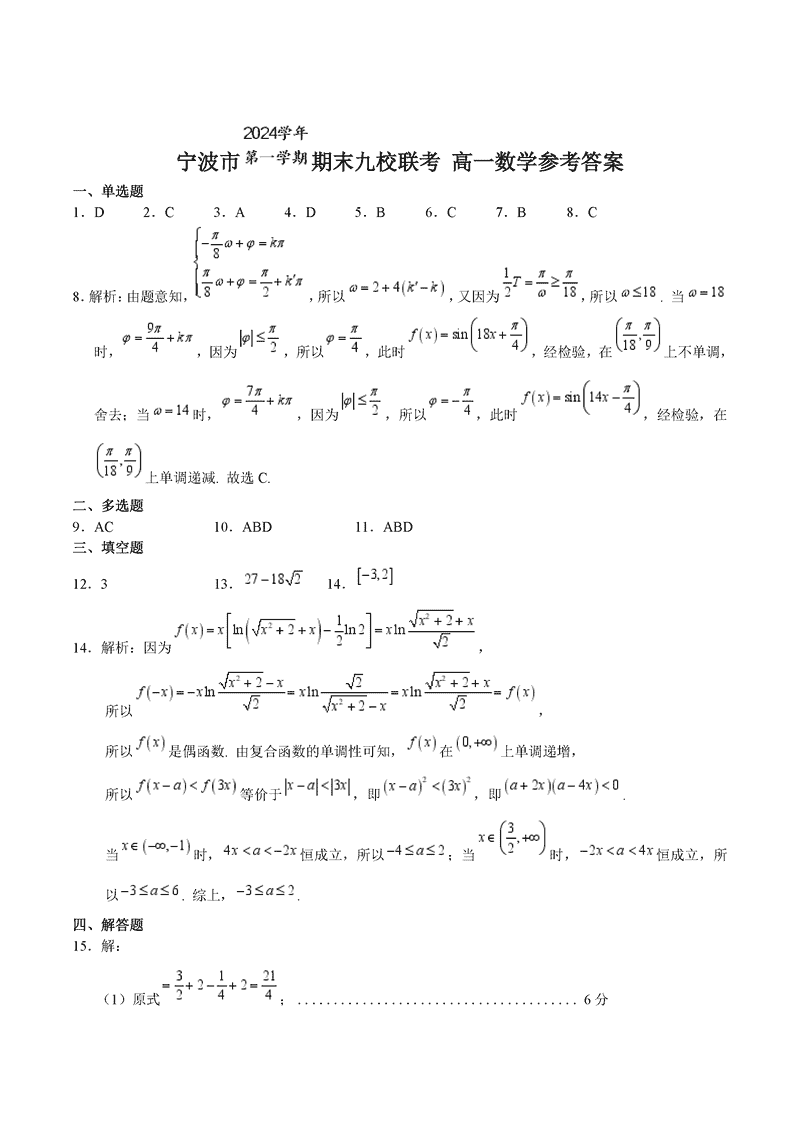
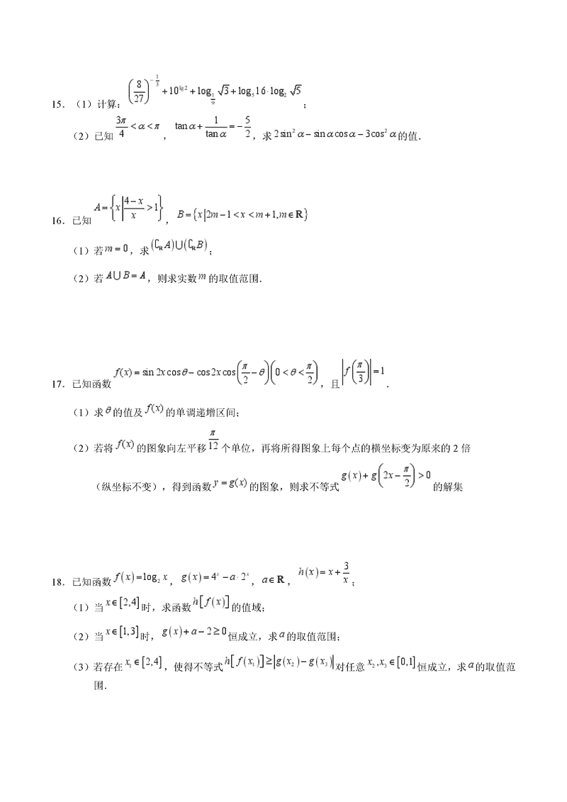
数学试题及答案解析