mksports - >山东高考 >山东高考复习 >山东高中数学 >

山东滨州2024-2025学年高二上学期期末数学试题及答案

时间: 山东 高中数学

山东省滨州市2024-2025学年高二上学期期末数学考试已于近日开考,为方便考生考后及时查看考试情况,查漏补缺、弥补不足,本文整理了试题答案解析相关信息!

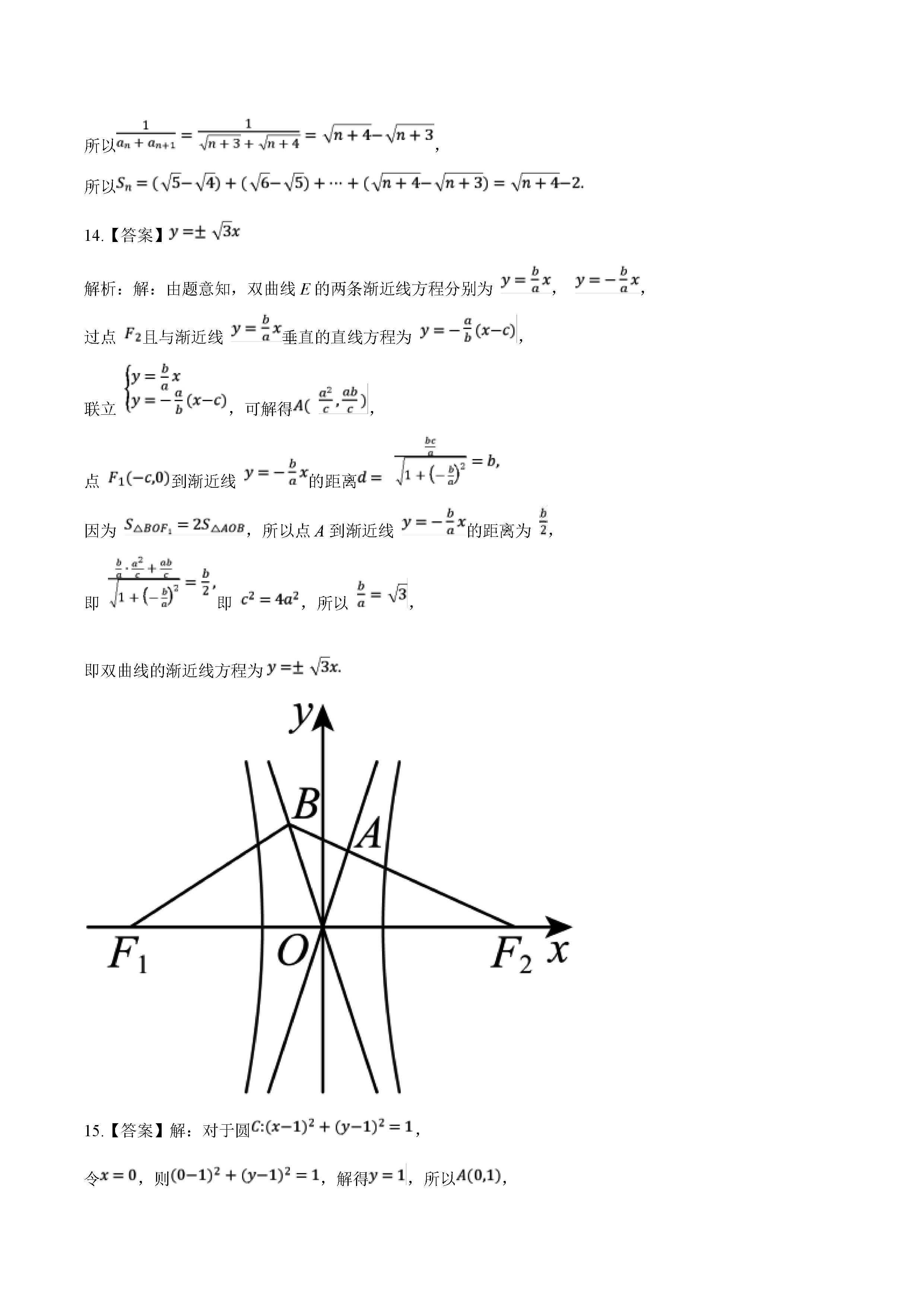
数学试题及答案解析