湖南省新高考教学教研联盟2025届第一次联考化学试题及答案
时间:
湖南 理综试题
湖南省新高考教学教研联盟2025届第一次联考化学考试已于近日开考,为方便考生考后及时查看考试情况,查漏补缺、弥补不足,本文整理了试题答案解析相关信息!
汇总:2025届湖南省新高考教学教研联盟第一次联考试题及答案汇总
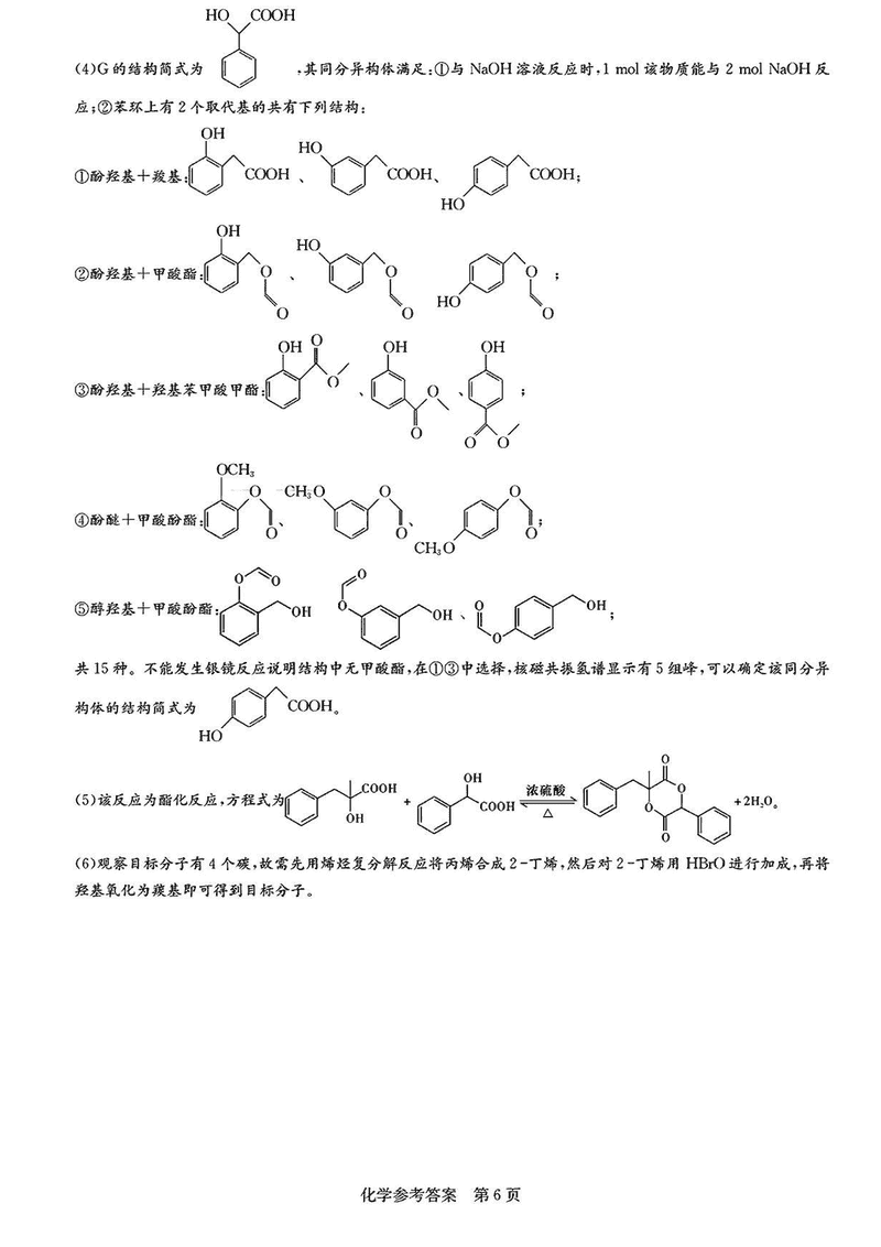
化学试题及答案解析














湖南省新高考教学教研联盟2025届第一次联考化学考试已于近日开考,为方便考生考后及时查看考试情况,查漏补缺、弥补不足,本文整理了试题答案解析相关信息!
汇总:2025届湖南省新高考教学教研联盟第一次联考试题及答案汇总
化学试题及答案解析













