mksports - >新疆高考 >新疆高考试题 >新疆数学试题 >

乌鲁木齐2025年高三第二次质量监测数学试题及答案汇总

时间: 新疆 数学试题

乌鲁木齐2025年高三第二次质量监测数学考试已于近日开考,为方便考生考后及时查看考试情况,查漏补缺、弥补不足,本文整理了试题答案解析相关信息!

汇总:乌鲁木齐2025年高三第二次质量监测试题及答案汇总

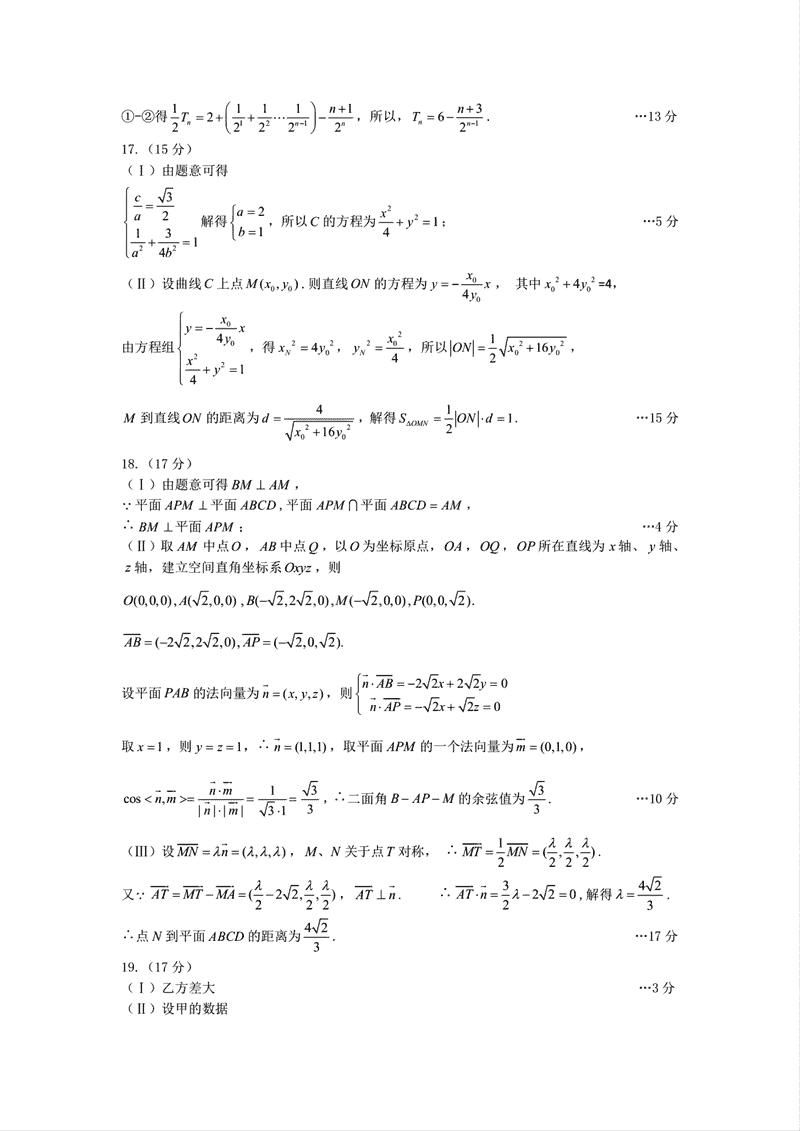
数学试题及答案解析