mksports - >贵州高考 >贵州高考试题 >贵州数学试题 >

毕节四诊2025届高考第四次适应性考数学试题及答案

时间: 贵州 数学试题

贵州毕节2025届高考第四次适应性考数学考试已于近日开考,为方便考生考后及时查看考试情况,查漏补缺、弥补不足,本文整理了试题答案解析相关信息!

汇总:贵州毕节2025届高考第四次适应性考试试题及答案汇总

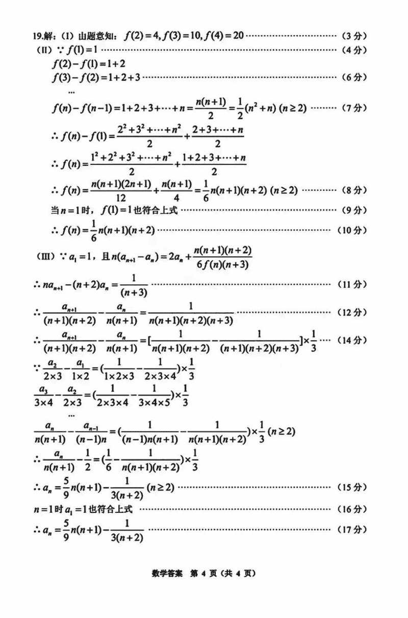
数学试题及答案解析