湖南雅礼中学2025届高三下学期冲刺训练数学试题及答案
时间:
湖南 数学试题
湖南雅礼中学2025届高三下学期冲刺训练数学考试已于近日开考,为方便考生考后及时查看考试情况,查漏补缺、弥补不足,本文整理了试题答案解析相关信息!
汇总:2025届湖南雅礼中学高三下学期冲刺模拟训练试题及答案汇总
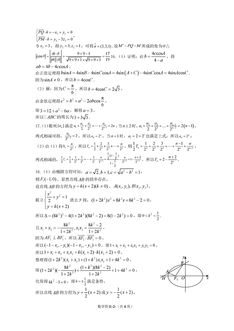
数学试题及答案解析






湖南雅礼中学2025届高三下学期冲刺训练数学考试已于近日开考,为方便考生考后及时查看考试情况,查漏补缺、弥补不足,本文整理了试题答案解析相关信息!
汇总:2025届湖南雅礼中学高三下学期冲刺模拟训练试题及答案汇总
数学试题及答案解析





