分数线
高考政策
高考新闻
高考时间
成绩查询
高考体检
录取查询
高考报名
高考状元
今日推荐
高考大纲
mksports -
>
河北高考
>
河北高考资讯
>
河北成绩查询
>
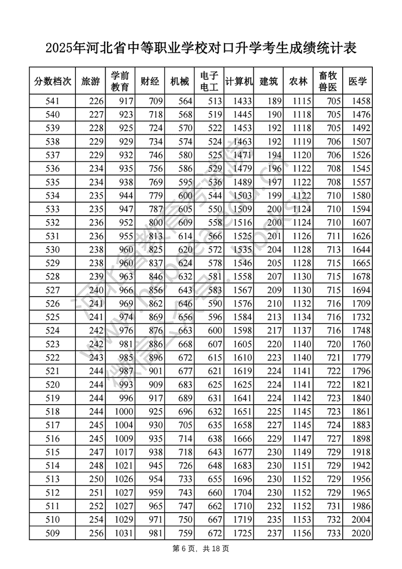
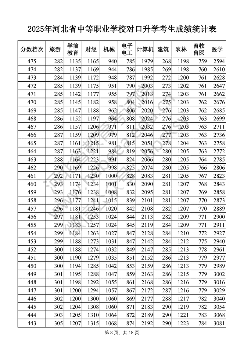
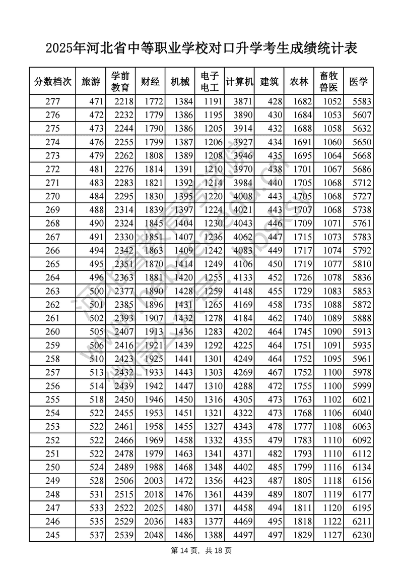
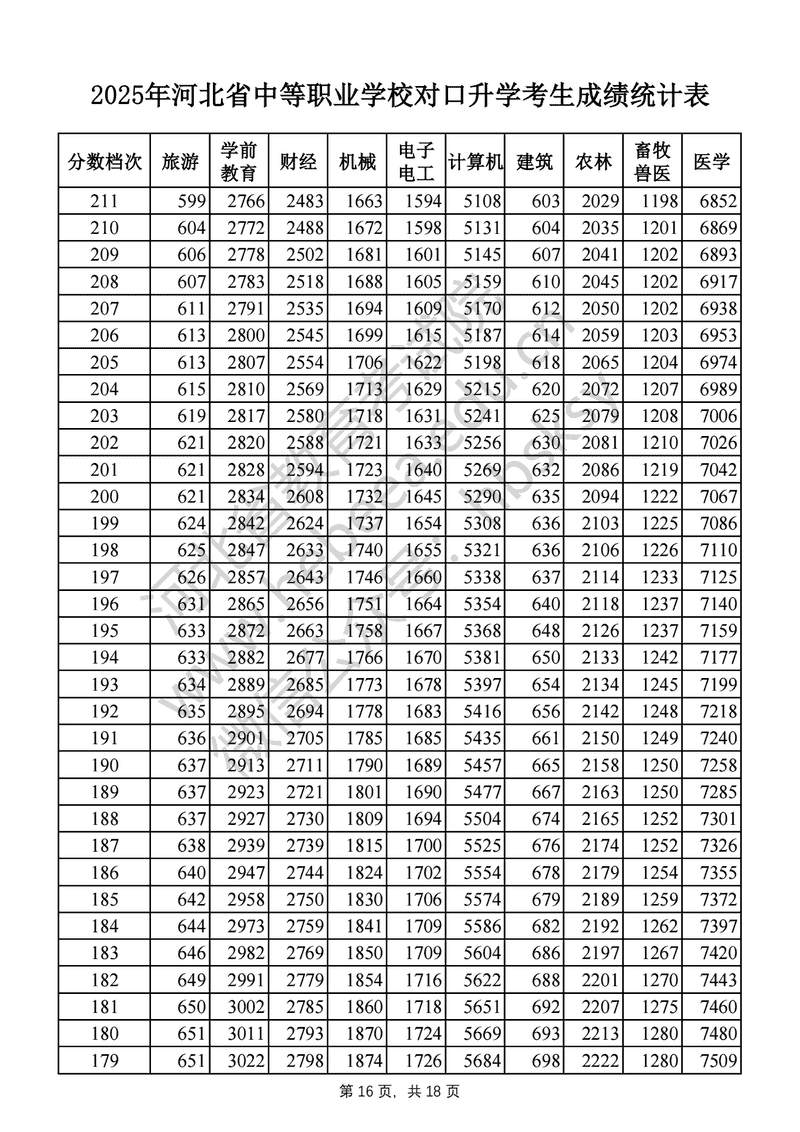
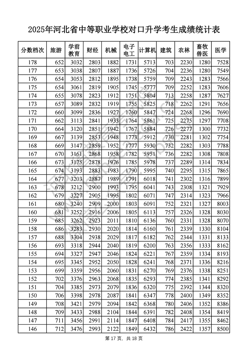
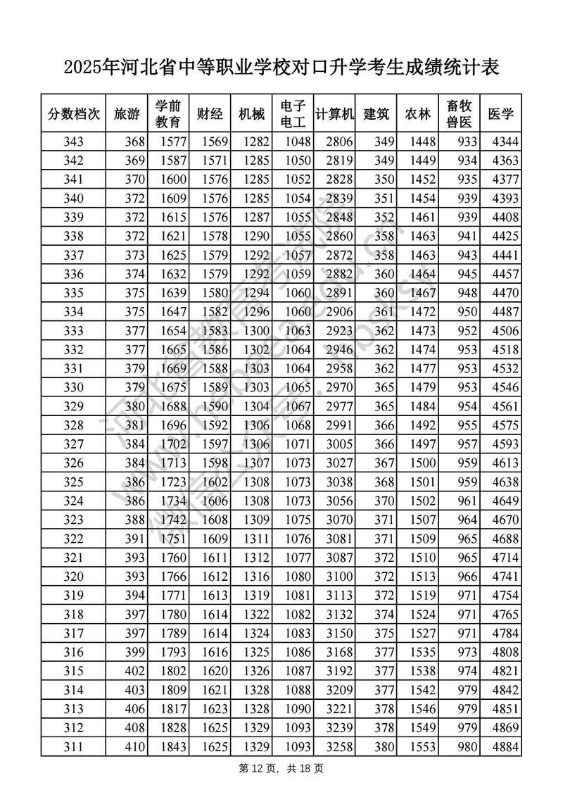
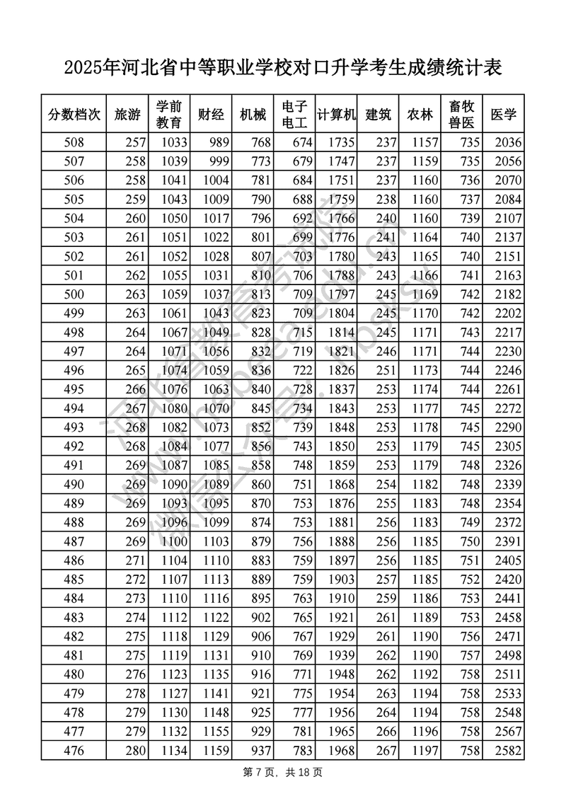
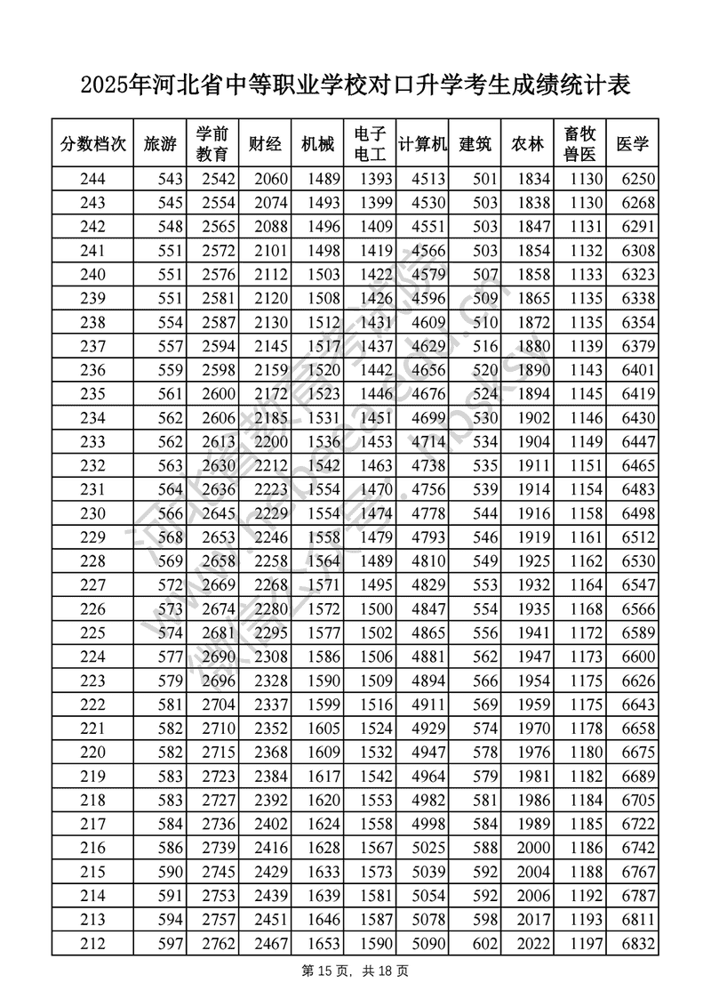
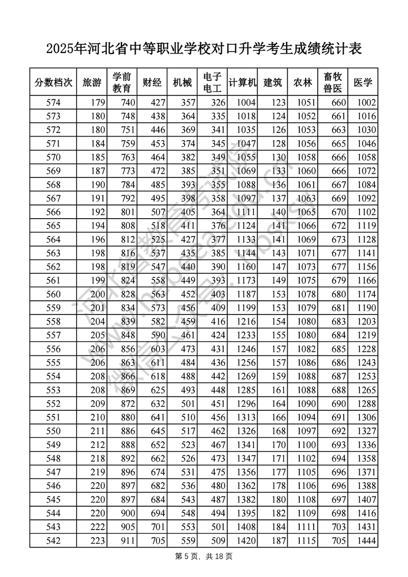
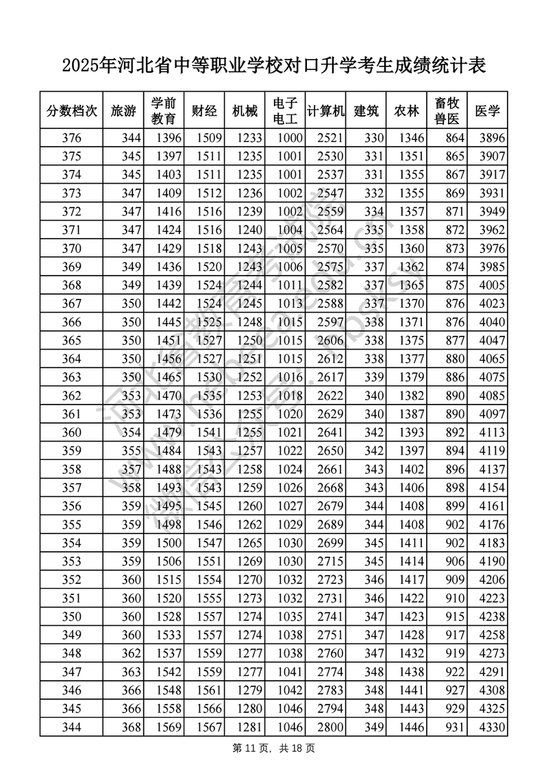
2025年河北省中等职业学校对口升学成绩一分一段表及位次排名
时间:
2025-06-24
河北
成绩查询
相关文章
2025年河北省高招各类考生成绩一分一段统计表
2025河北高考成绩物理类一分一段表出炉 最新位次排名
2025河北高考几号出成绩 附查分时间及网址入口
河北2025历史类一分一段位次表 高考成绩排名查询
河北高考一分一段表公布 2025高考成绩位次排名查询
2025河北高考一分一段表 成绩排名位次对应大学
山西2025高考理工类一分一段表最新 排名位次对照
热门推荐
2022安徽高考成绩查询方式及官方系统入口网址:https://www.ahzsks.cn
06-16
2022河南高考成绩查询方式及官方系统入口网址:http://www.haeea.cn
06-16
2022湖北高考成绩查询方式及官方系统入口网址:http://www.hbea.edu.cn
06-16
4
2022贵州高考成绩查询方式及官方系统入口网址:http://zsksy.guizhou.gov.cn
5
2022陕西高考成绩查询方式及官方系统入口网址:http://www.sneea.cn
6
2022年广东省普通高校专升本考试成绩查询入口:https://www.eeagd.edu.cn/ptzsbks
7
2022浙江高考成绩查询方式及官方系统入口网址:https://www.zjzs.net
8
2022山东高考成绩查询方式及官方系统入口网址:http://www.sdzk.cn
9
2022江苏高考成绩查询方式及官方系统入口:https://www.jseea.cn
10
2022广东高考成绩查询方式及官方系统入口网址:https://eea.gd.gov.cn
最新文章
河南2025年高考高职专科批录取分数线:185分
河南2025年高考普通本科批录取分数线:历史类471分、物理类427分
河南2025年高考特殊类型批录取分数线:历史类552分、物理类535分
2025年河南省普通高校招生各批次录取控制分数线发布
沧州师范学院2024在山东录取分数线是多少 最低457分/最高534分
山东石油化工学院2024在青海录取分数线是多少 最低378分/最高444分
2024上海民远职业技术学院在江苏各专业录取分数线及对应位次 最低222分
河南大学2024在新疆录取分数线是多少 最低420分/最高487分
深圳技术大学2024在福建录取分数线是多少 最低553分/最高606分
2024中南民族大学在宁夏各专业录取分数线及对应位次 最低432分
德州工程职业学院2024在浙江录取分数线是多少 最低269分/最高296分
米兰网web版
|
安博手机平台-安博(中国)
|
米兰官方网页版
|
星空在线
|
赢博平台
|
开云手机官方版在线入口
|
天行在线客服
|
雷火·竞技(中国区)电竞官网
|
安博手机网页版-安博(中国)官方
|