2025蚌埠学院艺术类招生计划及各专业招生人数
时间:
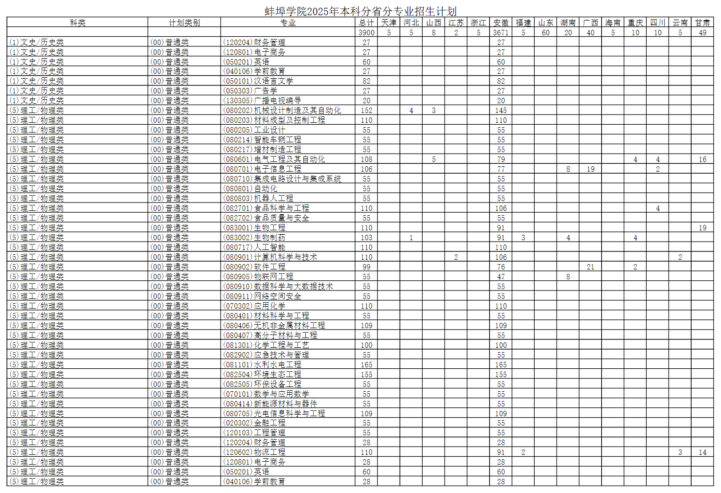
招生计划



蚌埠学院简介
蚌埠学院(Bengbu University),位于安徽省蚌埠市,是经国家教育部批准的一所以工为主,工学、理学、管理学、文学、教育学、艺术学多学科协调发展的普通本科院校。
学校于2004年在蚌埠高等专科学校、蚌埠教育学院、蚌埠职工大学合并筹建更名升本为蚌埠学院。2019年,学校正式被纳入安徽省省级硕士立项建设单位。



蚌埠学院简介
蚌埠学院(Bengbu University),位于安徽省蚌埠市,是经国家教育部批准的一所以工为主,工学、理学、管理学、文学、教育学、艺术学多学科协调发展的普通本科院校。
学校于2004年在蚌埠高等专科学校、蚌埠教育学院、蚌埠职工大学合并筹建更名升本为蚌埠学院。2019年,学校正式被纳入安徽省省级硕士立项建设单位。

