mksports - >四川高考 >四川高考复习 >四川高中数学 >

四川达州2025年高二春季教学质量监测数学试题及答案

时间: 四川 高中数学

四川省达州市2025年普通高二年级春季学期教学质量监测数学考试已于近日开考,为方便考生考后及时查看考试情况,查漏补缺、弥补不足,本文整理了试题答案解析相关信息!

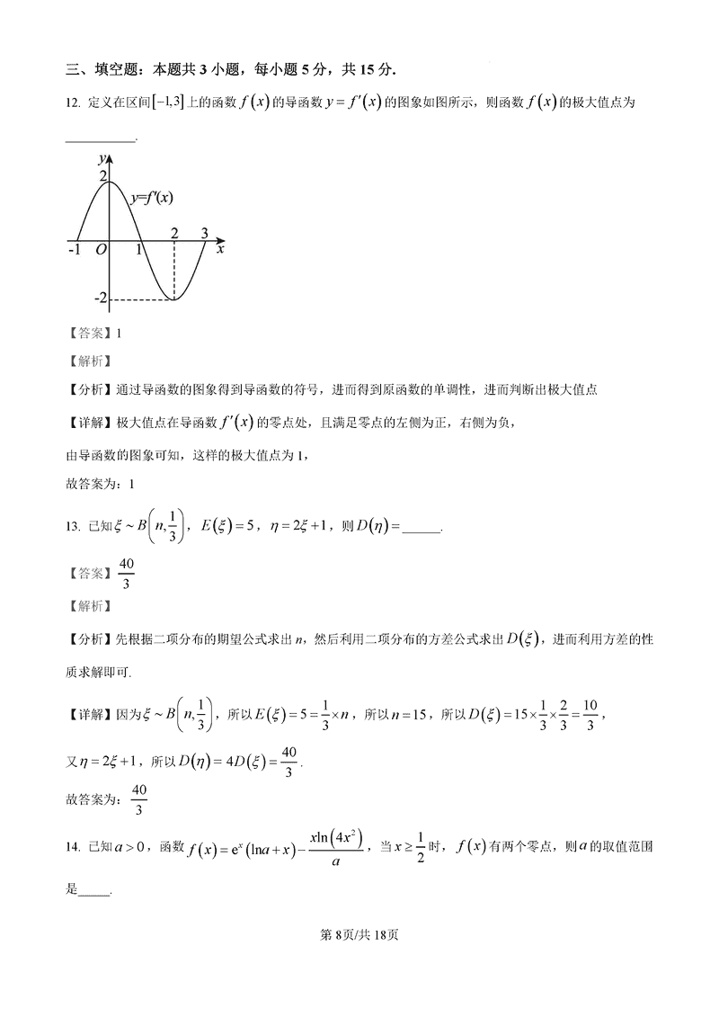
数学试题及答案解析