广州三校2024-2025学年高三上学期期中联考数学试题及答案
时间:
广东 数学试题
广州外国语、广大附中、铁一中学等三校024-2025学年高三上学期期中联考数学考试已于近日开考,为方便考生考后及时查看考试情况,查漏补缺、弥补不足,本文整理了试题答案解析相关信息!
汇总:广州三校2024-2025学年高三上学期期中联考试题及答案汇总
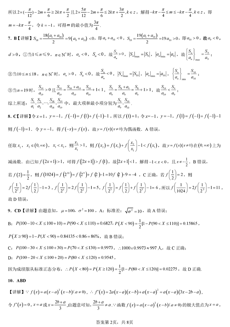
数学试题及答案解析












广州外国语、广大附中、铁一中学等三校024-2025学年高三上学期期中联考数学考试已于近日开考,为方便考生考后及时查看考试情况,查漏补缺、弥补不足,本文整理了试题答案解析相关信息!
汇总:广州三校2024-2025学年高三上学期期中联考试题及答案汇总
数学试题及答案解析











