皖南八校2025届高三上学期第二次大联考数学试题及答案
时间:
安徽 数学试题
皖南八校2025届高三上学期第二次大联考数学考试已于近日开考,为方便考生考后及时查看考试情况,查漏补缺、弥补不足,本文整理了试题答案解析相关信息!
汇总:皖南八校2025届高三上学期第二次大联考试题及答案汇总
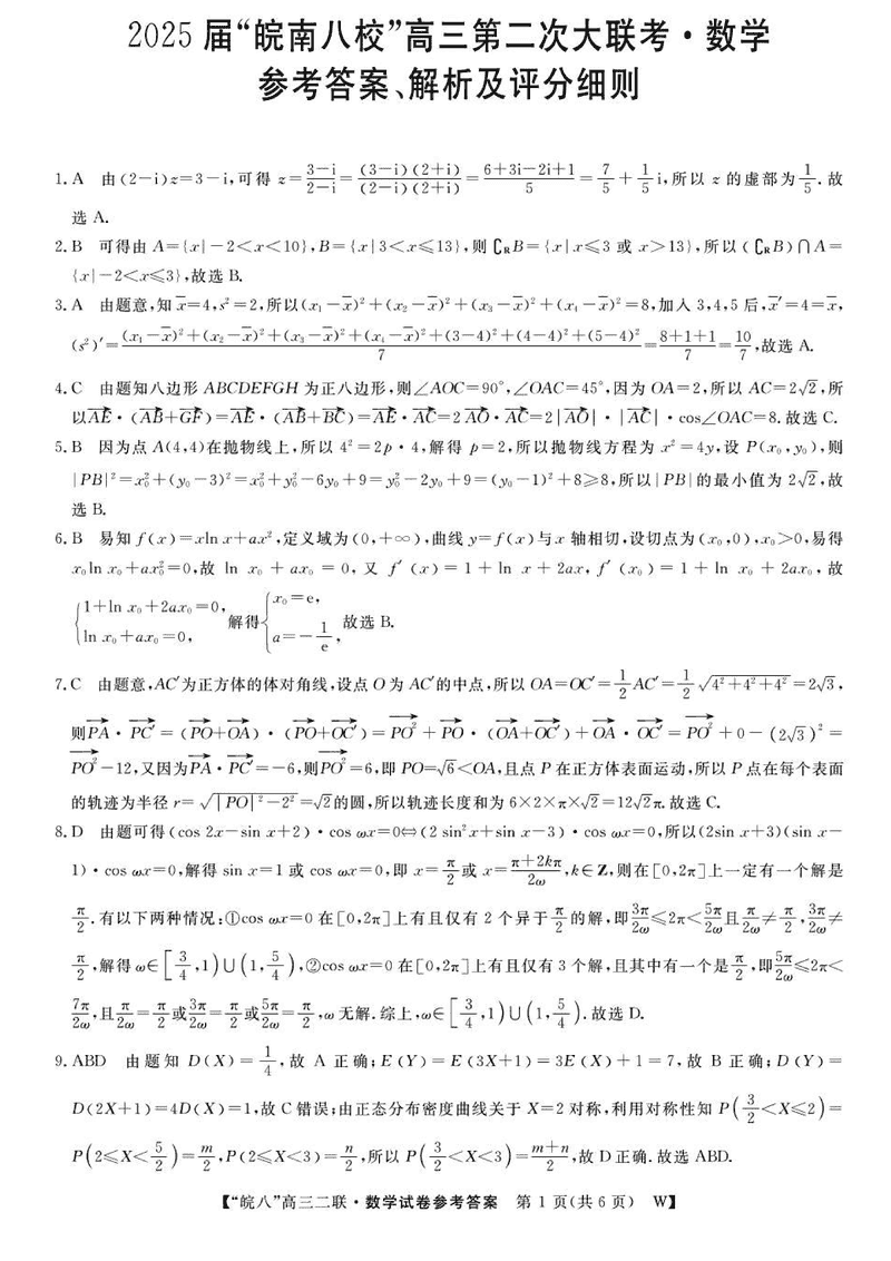
数学试题及答案解析










皖南八校2025届高三上学期第二次大联考数学考试已于近日开考,为方便考生考后及时查看考试情况,查漏补缺、弥补不足,本文整理了试题答案解析相关信息!
汇总:皖南八校2025届高三上学期第二次大联考试题及答案汇总
数学试题及答案解析









