山东济南2025年高三上学期1月期末数学试题及答案
时间:
山东 数学试题
山东济南2025年高三上学期1月期末数学考试已于近日开考,为方便考生考后及时查看考试情况,查漏补缺、弥补不足,本文整理了试题答案解析相关信息!
汇总:山东济南2025年高三上学期1月期末质检试题及答案汇总
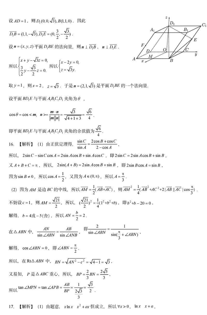
数学试题及答案解析










山东济南2025年高三上学期1月期末数学考试已于近日开考,为方便考生考后及时查看考试情况,查漏补缺、弥补不足,本文整理了试题答案解析相关信息!
汇总:山东济南2025年高三上学期1月期末质检试题及答案汇总
数学试题及答案解析









