新疆乌鲁木齐2025年高三第一次质量监测数学试题及答案
时间:
新疆 数学试题
新疆乌鲁木齐2025年高三第一次质量监测数学考试已于近日开考,为方便考生考后及时查看考试情况,查漏补缺、弥补不足,本文整理了试题答案解析相关信息!
汇总:新疆乌鲁木齐2025年高三第一次质量监测试题及答案汇总
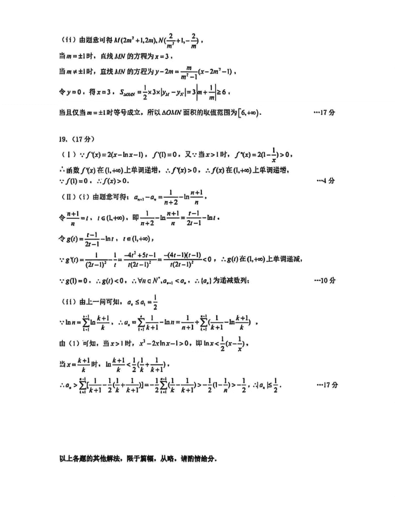
数学试题及答案解析







新疆乌鲁木齐2025年高三第一次质量监测数学考试已于近日开考,为方便考生考后及时查看考试情况,查漏补缺、弥补不足,本文整理了试题答案解析相关信息!
汇总:新疆乌鲁木齐2025年高三第一次质量监测试题及答案汇总
数学试题及答案解析






