mksports - >江西高考 >江西高考试题 >江西数学试题 >

南昌一模暨南昌市2025届高三模拟测试数学试题及答案

时间: 江西 数学试题

南昌一模暨南昌市2025届高三模拟测试数学考试已于近日开考,为方便考生考后及时查看考试情况,查漏补缺、弥补不足,本文整理了试题答案解析相关信息!

汇总:南昌一模暨南昌市2025届高三模拟测试试题及答案汇总

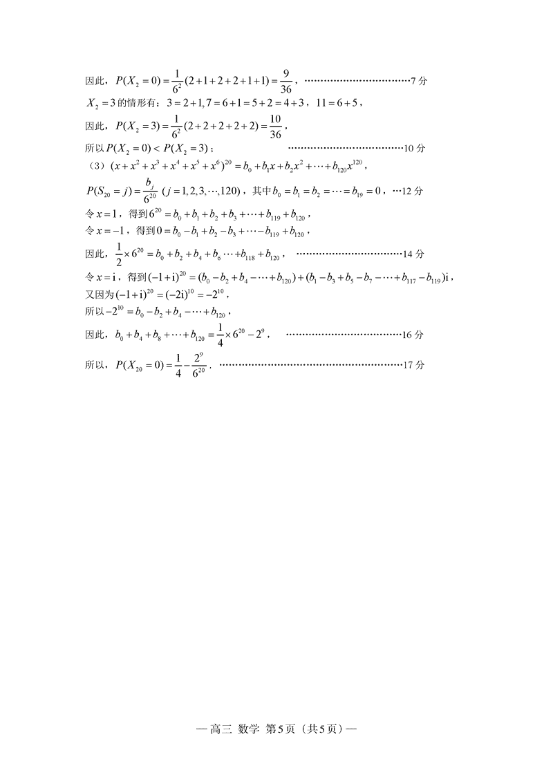
数学试题及答案解析