广东2025年高考一分一段表 历史类成绩排名查询
时间:
广东 成绩查询
2025广东高考一分一段位次表已经公布,其中物理类690分累计人数是87人;683分累计人数是266人;675分累计人数是642人;663分累计人数是1701人;662分累计人数是1825人。以下是详细内容,大家可以看一看。
2025广东高考一分一段位次表最新公布
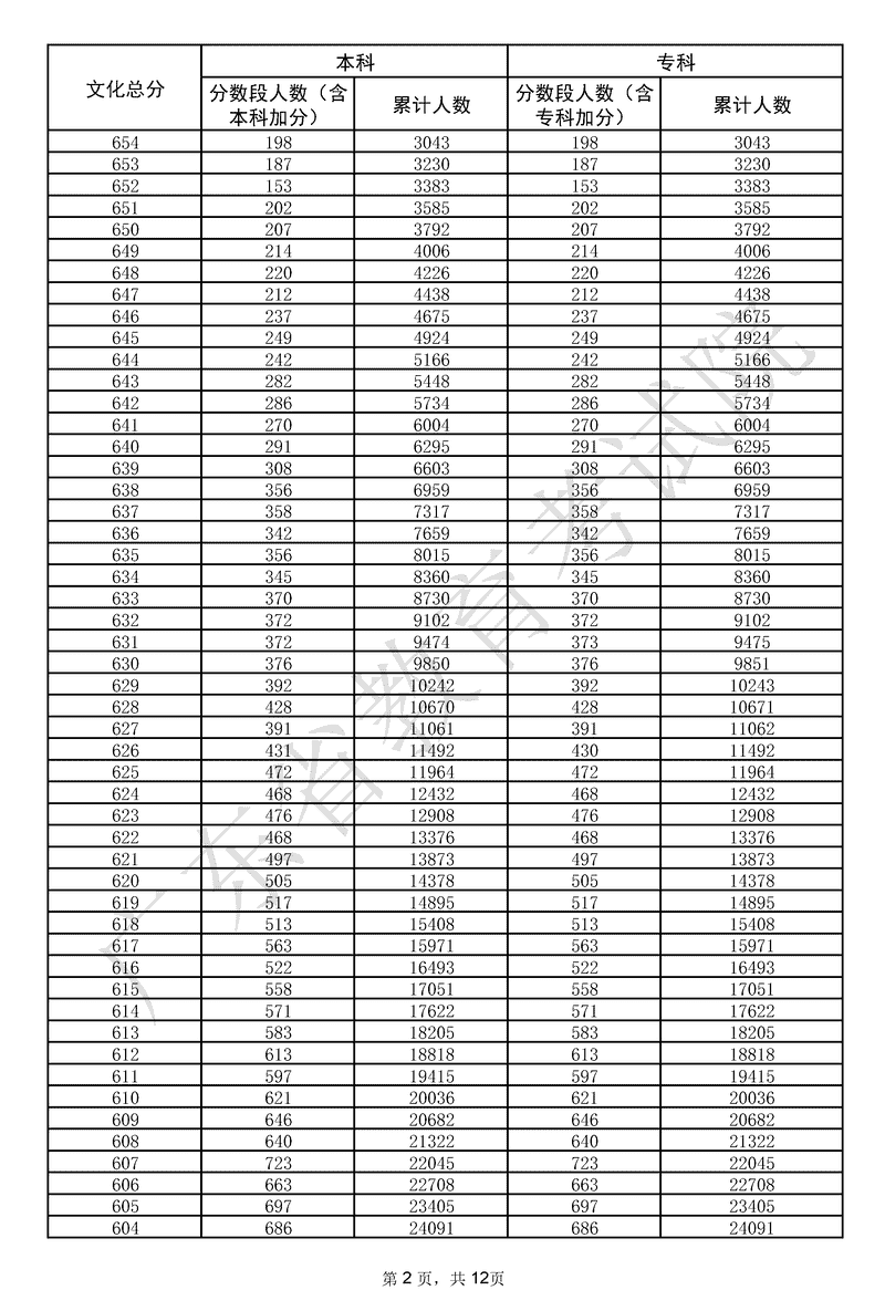
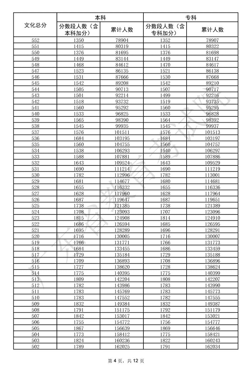
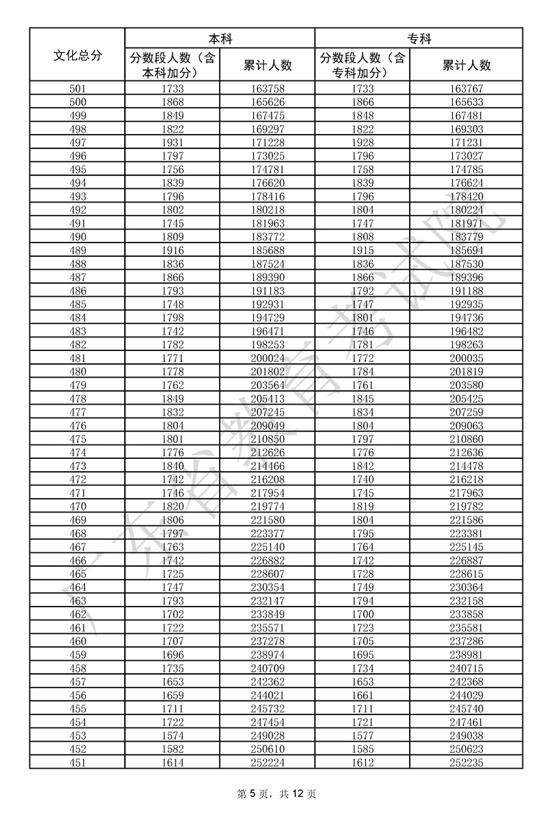
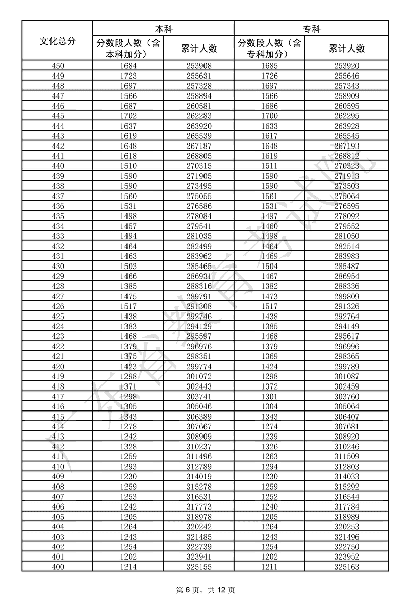
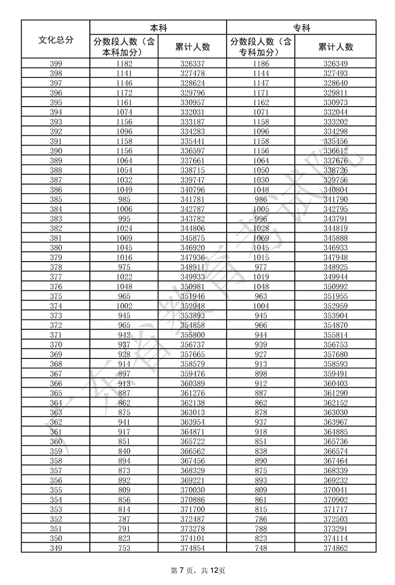
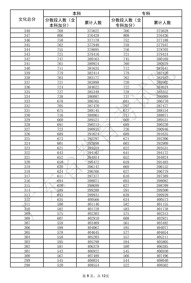
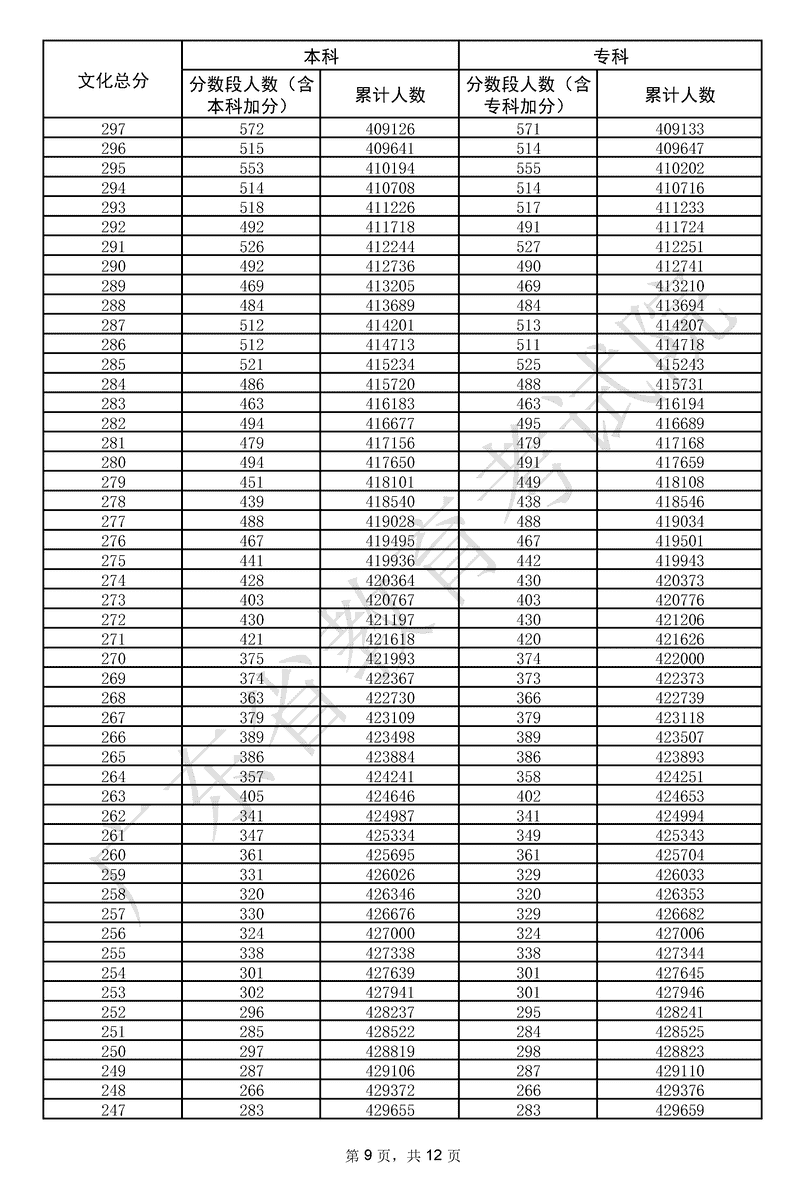
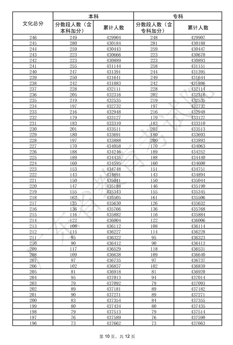
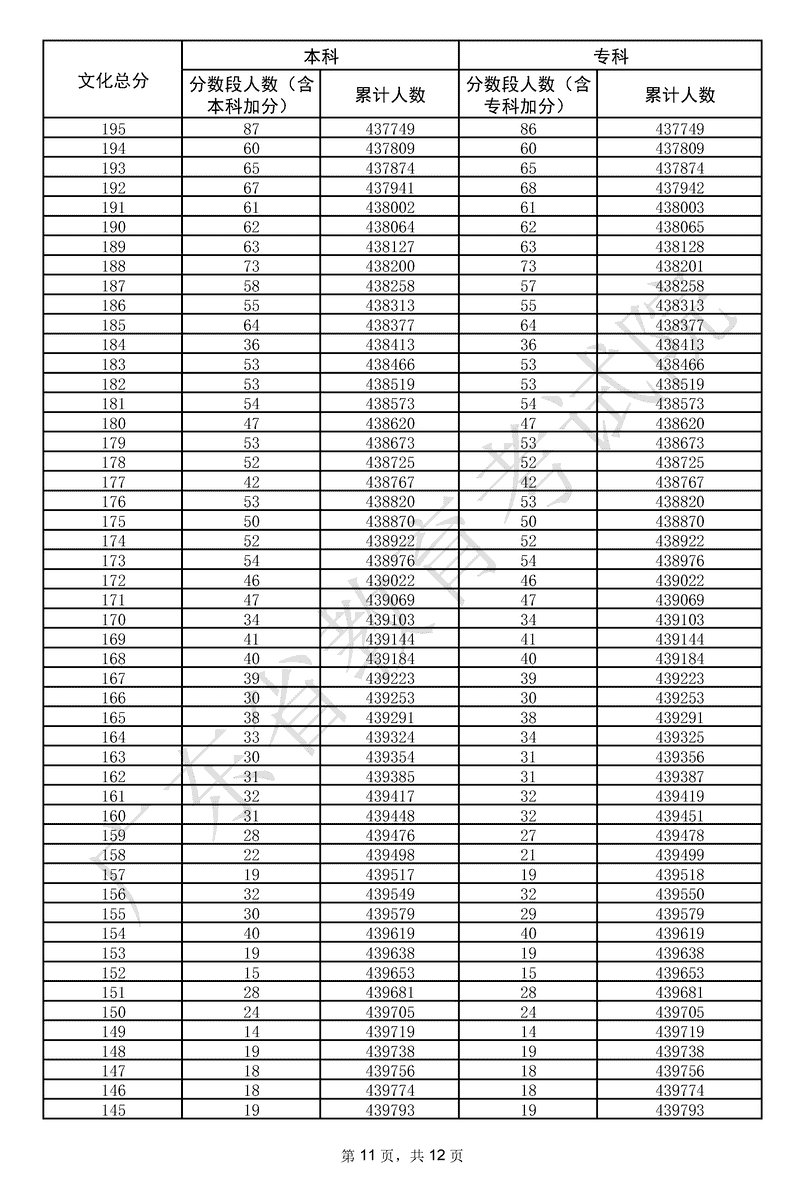
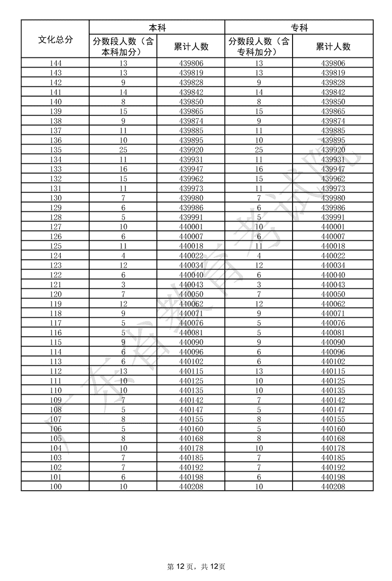
2025广东省高考历史类一分一段表如下:








高考一分一段表是什么意思
2025广东省高考物理类一分一段表如下:











高考一分一段表该如何使用
一分一段表的主要作用是用来定位,给自己定位,给学校定位,要想报好一份志愿,首先是定位问题,找准自己的成绩在全省的考生当中处于什么地位,找到学校的录取分数线在所有学校当中是处于什么地位,而要完成这个工作,一分一段表是必不可少的一个数据。
比如,一个学校去年的录取分数线是210分,然后今年一位考生的成绩是215分,这位考生就很高兴的填报了这个学校,最后却发现今年这个学校的录取分数线是220分,自己未被录取。
其实,单纯的分数是没有意义的,因为平行志愿在录取的时候,省招办会先将全体考生按照成绩,由高到低进行排列,然后从高分到低分,依次检索每一位考生所报的院校志愿。
也就是说,根据考生在全省的排名情况进行投档录取,并不是根据考生具体的分数进行投档录取,这也造成了在预测学校录取分数线进行志愿填报的过程中,用一分一段表作为依据的理论可靠性,并且经过多年的实战经验,用一分一段表来定位填报志愿,对于本科院校的填报准确度很高。



