mksports - >四川高考 >四川高考试题 >四川数学试题 >

攀枝花三统2025届高三第三次统考数学试题及答案

时间: 四川 数学试题

攀枝花三统2025届高三第三次统考数学考试已于近日开考,为方便考生考后及时查看考试情况,查漏补缺、弥补不足,本文整理了试题答案解析相关信息!

汇总:攀枝花三统2025届高三第三次统考试题及答案汇总

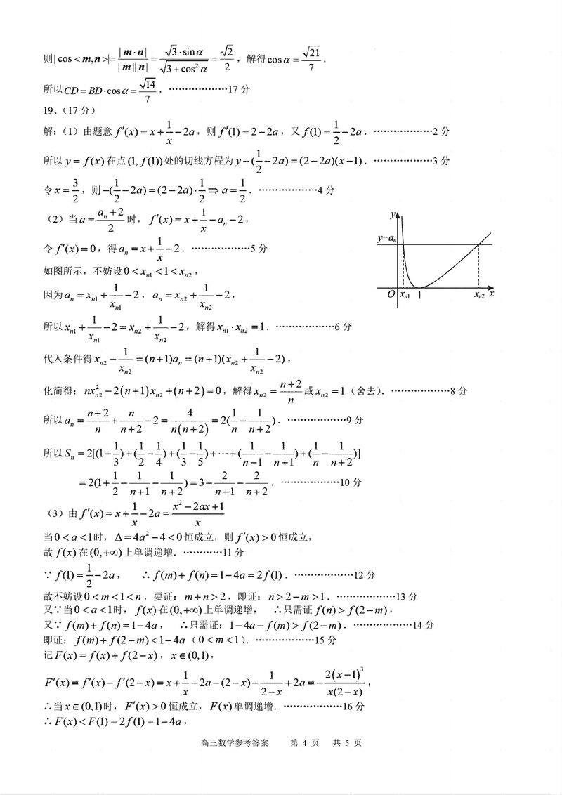
数学试题及答案解析