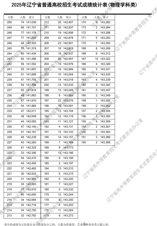
2025辽宁高考成绩物理类一分一段表出炉 最新位次排名
时间:
辽宁 成绩查询
高考的一分一段位次表主要为展示考生个人分数在省内的排名情况,对于2025年参加高考的考生而言,当高考成绩及一分一段表正式公布后,考生可依据自身位次,换算成前一年的对应分数。下面是小编整理的2025辽宁高考成绩物理类一分一段表,一起来看看吧!

2025辽宁高考成绩物理类一分一段表
2025辽宁物理类一分一段表:




一分一段表的作用是可以显示每一个分数全省考生有多少名,考生可以根据自己的分数对照一分段表,再参照往年各类学校各批次招生计划数,确定自己该如何填报志愿。
一分段表是将全省同科类(仅指普通高考文史理工类考生,不含艺术体育和职教师资、三校高职考生)考生的投档分(高考文考成绩总分+照顾加分,不含和志愿相关的志愿加分)从高到低排列(分数相同的则为并列),再按一分一段统计“本段人数”。
2024辽宁高考成绩物理类一分一段表
以下是为大家整理的2024辽宁高考成绩物理类一分一段表数据,大家可以参考。
| 分数 | 人数 | 位次 |
| 708及以上 | 11 | 11 |
| 707 | 5 | 16 |
| 706 | 9 | 25 |
| 705 | 5 | 30 |
| 704 | 2 | 32 |
| 703 | 10 | 42 |
| 702 | 5 | 47 |
| 701 | 5 | 52 |
| 700 | 13 | 65 |
| 699 | 13 | 78 |
| 698 | 20 | 98 |
| 697 | 16 | 114 |
| 696 | 20 | 134 |
| 695 | 15 | 149 |
| 694 | 17 | 166 |
| 693 | 17 | 183 |
| 692 | 29 | 212 |
| 691 | 24 | 236 |
| 690 | 28 | 264 |
| 689 | 25 | 289 |
| 688 | 27 | 316 |
| 687 | 37 | 353 |
| 686 | 36 | 389 |
| 685 | 53 | 442 |
| 684 | 35 | 477 |
| 683 | 47 | 524 |
| 682 | 45 | 569 |
| 681 | 40 | 609 |
| 680 | 45 | 654 |
| 679 | 46 | 700 |
| 678 | 48 | 748 |
| 677 | 83 | 831 |
| 676 | 66 | 897 |
| 675 | 57 | 954 |
| 674 | 60 | 1014 |
| 673 | 76 | 1090 |
| 672 | 68 | 1158 |
| 671 | 79 | 1237 |
| 670 | 79 | 1316 |
| 669 | 87 | 1403 |
| 668 | 70 | 1473 |
| 667 | 112 | 1585 |
| 666 | 90 | 1675 |
| 665 | 89 | 1764 |
| 664 | 114 | 1878 |
| 663 | 108 | 1986 |
| 662 | 82 | 2068 |
| 661 | 85 | 2153 |
| 660 | 101 | 2254 |
| 659 | 100 | 2354 |
| 658 | 114 | 2468 |
| 657 | 138 | 2606 |
| 656 | 127 | 2733 |
| 655 | 127 | 2860 |
| 654 | 141 | 3001 |
| 653 | 131 | 3132 |
| 652 | 153 | 3285 |
| 651 | 143 | 3428 |
| 650 | 133 | 3561 |
| 649 | 150 | 3711 |
| 648 | 169 | 3880 |
| 647 | 178 | 4058 |
| 646 | 151 | 4209 |
| 645 | 177 | 4386 |
| 644 | 149 | 4535 |
| 643 | 186 | 4721 |
| 642 | 176 | 4897 |
| 641 | 184 | 5081 |
| 640 | 192 | 5273 |
| 639 | 181 | 5454 |
| 638 | 175 | 5629 |
| 637 | 176 | 5805 |
| 636 | 201 | 6006 |
| 635 | 178 | 6184 |
| 634 | 178 | 6362 |
| 633 | 210 | 6572 |
| 632 | 198 | 6770 |
| 631 | 222 | 6992 |
| 630 | 179 | 7171 |
| 629 | 201 | 7372 |
| 628 | 192 | 7564 |
| 627 | 199 | 7763 |
| 626 | 239 | 8002 |
| 625 | 241 | 8243 |
| 624 | 223 | 8466 |
| 623 | 231 | 8697 |
| 622 | 231 | 8928 |
| 621 | 208 | 9136 |
| 620 | 247 | 9383 |
| 619 | 232 | 9615 |
| 618 | 240 | 9855 |
| 617 | 245 | 10100 |
| 616 | 269 | 10369 |
| 615 | 270 | 10639 |
| 614 | 252 | 10891 |
| 613 | 231 | 11122 |
| 612 | 289 | 11411 |
| 611 | 266 | 11677 |
| 610 | 242 | 11919 |
| 609 | 271 | 12190 |
| 608 | 271 | 12461 |
| 607 | 270 | 12731 |
| 606 | 259 | 12990 |
| 605 | 250 | 13240 |
| 604 | 284 | 13524 |
| 603 | 290 | 13814 |
| 602 | 268 | 14082 |
| 601 | 270 | 14352 |
| 600 | 260 | 14612 |
| 599 | 267 | 14879 |
| 598 | 279 | 15158 |
| 597 | 296 | 15454 |
| 596 | 315 | 15769 |
| 595 | 299 | 16068 |
| 594 | 261 | 16329 |
| 593 | 277 | 16606 |
| 592 | 322 | 16928 |
| 591 | 330 | 17258 |
| 590 | 296 | 17554 |
| 589 | 300 | 17854 |
| 588 | 343 | 18197 |
| 587 | 307 | 18504 |
| 586 | 326 | 18830 |
| 585 | 296 | 19126 |
| 584 | 340 | 19466 |
| 583 | 316 | 19782 |
| 582 | 326 | 20108 |
| 581 | 329 | 20437 |
| 580 | 361 | 20798 |
| 579 | 321 | 21119 |
| 578 | 331 | 21450 |
| 577 | 346 | 21796 |
| 576 | 304 | 22100 |
| 575 | 353 | 22453 |
| 574 | 364 | 22817 |
| 573 | 382 | 23199 |
| 572 | 318 | 23517 |
| 571 | 300 | 23817 |
| 570 | 367 | 24184 |
| 569 | 337 | 24521 |
| 568 | 309 | 24830 |
| 567 | 357 | 25187 |
| 566 | 341 | 25528 |
| 565 | 365 | 25893 |
| 564 | 331 | 26224 |
| 563 | 362 | 26586 |
| 562 | 349 | 26935 |
| 561 | 389 | 27324 |
| 560 | 372 | 27696 |
| 559 | 356 | 28052 |
| 558 | 373 | 28425 |
| 557 | 368 | 28793 |
| 556 | 377 | 29170 |
| 555 | 372 | 29542 |
| 554 | 391 | 29933 |
| 553 | 404 | 30337 |
| 552 | 399 | 30736 |
| 551 | 379 | 31115 |
| 550 | 403 | 31518 |
| 549 | 402 | 31920 |
| 548 | 364 | 32284 |
| 547 | 375 | 32659 |
| 546 | 396 | 33055 |
| 545 | 406 | 33461 |
| 544 | 412 | 33873 |
| 543 | 414 | 34287 |
| 542 | 426 | 34713 |
| 541 | 418 | 35131 |
| 540 | 407 | 35538 |
| 539 | 411 | 35949 |
| 538 | 423 | 36372 |
| 537 | 394 | 36766 |
| 536 | 468 | 37234 |
| 535 | 435 | 37669 |
| 534 | 426 | 38095 |
| 533 | 481 | 38576 |
| 532 | 418 | 38994 |
| 531 | 389 | 39383 |
| 530 | 422 | 39805 |
| 529 | 383 | 40188 |
| 528 | 413 | 40601 |
| 527 | 389 | 40990 |
| 526 | 418 | 41408 |
| 525 | 395 | 41803 |
| 524 | 399 | 42202 |
| 523 | 451 | 42653 |
| 522 | 413 | 43066 |
| 521 | 403 | 43469 |
| 520 | 424 | 43893 |
| 519 | 460 | 44353 |
| 518 | 465 | 44818 |
| 517 | 458 | 45276 |
| 516 | 438 | 45714 |
| 515 | 460 | 46174 |
| 514 | 475 | 46649 |
| 513 | 443 | 47092 |
| 512 | 441 | 47533 |
| 511 | 435 | 47968 |
| 510 | 447 | 48415 |
| 509 | 461 | 48876 |
| 508 | 457 | 49333 |
| 507 | 436 | 49769 |
| 506 | 484 | 50253 |
| 505 | 447 | 50700 |
| 504 | 494 | 51194 |
| 503 | 454 | 51648 |
| 502 | 465 | 52113 |
| 501 | 446 | 52559 |
| 500 | 485 | 53044 |
| 499 | 500 | 53544 |
| 498 | 461 | 54005 |
| 497 | 510 | 54515 |
| 496 | 456 | 54971 |
| 495 | 472 | 55443 |
| 494 | 474 | 55917 |
| 493 | 485 | 56402 |
| 492 | 466 | 56868 |
| 491 | 464 | 57332 |
| 490 | 474 | 57806 |
| 489 | 481 | 58287 |
| 488 | 460 | 58747 |
| 487 | 486 | 59233 |
| 486 | 463 | 59696 |
| 485 | 464 | 60160 |
| 484 | 526 | 60686 |
| 483 | 476 | 61162 |
| 482 | 462 | 61624 |
| 481 | 472 | 62096 |
| 480 | 475 | 62571 |
| 479 | 492 | 63063 |
| 478 | 456 | 63519 |
| 477 | 504 | 64023 |
| 476 | 521 | 64544 |
| 475 | 471 | 65015 |
| 474 | 483 | 65498 |
| 473 | 527 | 66025 |
| 472 | 501 | 66526 |
| 471 | 496 | 67022 |
| 470 | 489 | 67511 |
| 469 | 475 | 67986 |
| 468 | 482 | 68468 |
| 467 | 469 | 68937 |
| 466 | 469 | 69406 |
| 465 | 470 | 69876 |
| 464 | 473 | 70349 |
| 463 | 502 | 70851 |
| 462 | 499 | 71350 |
| 461 | 525 | 71875 |
| 460 | 472 | 72347 |
| 459 | 479 | 72826 |
| 458 | 503 | 73329 |
| 457 | 518 | 73847 |
| 456 | 531 | 74378 |
| 455 | 518 | 74896 |
| 454 | 495 | 75391 |
| 453 | 520 | 75911 |
| 452 | 490 | 76401 |
| 451 | 491 | 76892 |
| 450 | 471 | 77363 |
| 449 | 503 | 77866 |
| 448 | 524 | 78390 |
| 447 | 481 | 78871 |
| 446 | 519 | 79390 |
| 445 | 506 | 79896 |
| 444 | 501 | 80397 |
| 443 | 478 | 80875 |
| 442 | 476 | 81351 |
| 441 | 507 | 81858 |
| 440 | 479 | 82337 |
| 439 | 475 | 82812 |
| 438 | 543 | 83355 |
| 437 | 480 | 83835 |
| 436 | 522 | 84357 |
| 435 | 483 | 84840 |
| 434 | 510 | 85350 |
| 433 | 506 | 85856 |
| 432 | 480 | 86336 |
| 431 | 514 | 86850 |
| 430 | 507 | 87357 |
| 429 | 520 | 87877 |
| 428 | 499 | 88376 |
| 427 | 518 | 88894 |
| 426 | 503 | 89397 |
| 425 | 481 | 89878 |
| 424 | 515 | 90393 |
| 423 | 490 | 90883 |
| 422 | 504 | 91387 |
| 421 | 485 | 91872 |
| 420 | 486 | 92358 |
| 419 | 463 | 92821 |
| 418 | 514 | 93335 |
| 417 | 484 | 93819 |
| 416 | 464 | 94283 |
| 415 | 479 | 94762 |
| 414 | 521 | 95283 |
| 413 | 457 | 95740 |
| 412 | 533 | 96273 |
| 411 | 466 | 96739 |
| 410 | 479 | 97218 |
| 409 | 502 | 97720 |
| 408 | 485 | 98205 |
| 407 | 431 | 98636 |
| 406 | 484 | 99120 |
| 405 | 431 | 99551 |
| 404 | 463 | 100014 |
| 403 | 480 | 100494 |
| 402 | 455 | 100949 |
| 401 | 509 | 101458 |
| 400 | 479 | 101937 |
| 399 | 503 | 102440 |
| 398 | 447 | 102887 |
| 397 | 484 | 103371 |
| 396 | 447 | 103818 |
| 395 | 470 | 104288 |
| 394 | 451 | 104739 |
| 393 | 466 | 105205 |
| 392 | 454 | 105659 |
| 391 | 466 | 106125 |
| 390 | 460 | 106585 |
| 389 | 453 | 107038 |
| 388 | 439 | 107477 |
| 387 | 426 | 107903 |
| 386 | 460 | 108363 |
| 385 | 414 | 108777 |
| 384 | 447 | 109224 |
| 383 | 447 | 109671 |
| 382 | 448 | 110119 |
| 381 | 411 | 110530 |
| 380 | 498 | 111028 |
| 379 | 427 | 111455 |
| 378 | 447 | 111902 |
| 377 | 449 | 112351 |
| 376 | 435 | 112786 |
| 375 | 429 | 113215 |
| 374 | 444 | 113659 |
| 373 | 443 | 114102 |
| 372 | 463 | 114565 |
| 371 | 427 | 114992 |
| 370 | 405 | 115397 |
| 369 | 399 | 115796 |
| 368 | 402 | 116198 |
| 367 | 431 | 116629 |
| 366 | 419 | 117048 |
| 365 | 406 | 117454 |
| 364 | 404 | 117858 |
| 363 | 401 | 118259 |
| 362 | 394 | 118653 |
| 361 | 400 | 119053 |
| 360 | 414 | 119467 |
| 359 | 409 | 119876 |
| 358 | 403 | 120279 |
| 357 | 365 | 120644 |
| 356 | 388 | 121032 |
| 355 | 396 | 121428 |
| 354 | 378 | 121806 |
| 353 | 383 | 122189 |
| 352 | 401 | 122590 |
| 351 | 407 | 122997 |
| 350 | 362 | 123359 |
| 349 | 360 | 123719 |
| 348 | 381 | 124100 |
| 347 | 391 | 124491 |
| 346 | 377 | 124868 |
| 345 | 379 | 125247 |
| 344 | 370 | 125617 |
| 343 | 339 | 125956 |
| 342 | 376 | 126332 |
| 341 | 341 | 126673 |
| 340 | 355 | 127028 |
| 339 | 336 | 127364 |
| 338 | 363 | 127727 |
| 337 | 325 | 128052 |
| 336 | 351 | 128403 |
| 335 | 347 | 128750 |
| 334 | 288 | 129038 |
| 333 | 319 | 129357 |
| 332 | 320 | 129677 |
| 331 | 318 | 129995 |
| 330 | 349 | 130344 |
| 329 | 343 | 130687 |
| 328 | 358 | 131045 |
| 327 | 323 | 131368 |
| 326 | 300 | 131668 |
| 325 | 326 | 131994 |
| 324 | 265 | 132259 |
| 323 | 292 | 132551 |
| 322 | 333 | 132884 |
| 321 | 260 | 133144 |
| 320 | 295 | 133439 |
| 319 | 302 | 133741 |
| 318 | 276 | 134017 |
| 317 | 289 | 134306 |
| 316 | 274 | 134580 |
| 315 | 289 | 134869 |
| 314 | 266 | 135135 |
| 313 | 251 | 135386 |
| 312 | 278 | 135664 |
| 311 | 294 | 135958 |
| 310 | 263 | 136221 |
| 309 | 256 | 136477 |
| 308 | 250 | 136727 |
| 307 | 239 | 136966 |
| 306 | 257 | 137223 |
| 305 | 240 | 137463 |
| 304 | 219 | 137682 |
| 303 | 245 | 137927 |
| 302 | 238 | 138165 |
| 301 | 271 | 138436 |
| 300 | 239 | 138675 |
| 299 | 232 | 138907 |
| 298 | 236 | 139143 |
| 297 | 229 | 139372 |
| 296 | 216 | 139588 |
| 295 | 204 | 139792 |
| 294 | 179 | 139971 |
| 293 | 213 | 140184 |
| 292 | 214 | 140398 |
| 291 | 204 | 140602 |
| 290 | 198 | 140800 |
| 289 | 204 | 141004 |
| 288 | 186 | 141190 |
| 287 | 184 | 141374 |
| 286 | 201 | 141575 |
| 285 | 196 | 141771 |
| 284 | 197 | 141968 |
| 283 | 213 | 142181 |
| 282 | 196 | 142377 |
| 281 | 167 | 142544 |
| 280 | 155 | 142699 |
| 279 | 140 | 142839 |
| 278 | 167 | 143006 |
| 277 | 157 | 143163 |
| 276 | 153 | 143316 |
| 275 | 136 | 143452 |
| 274 | 169 | 143621 |
| 273 | 128 | 143749 |
| 272 | 167 | 143916 |
| 271 | 155 | 144071 |
| 270 | 148 | 144219 |
| 269 | 157 | 144376 |
| 268 | 134 | 144510 |
| 267 | 139 | 144649 |
| 266 | 132 | 144781 |
| 265 | 114 | 144895 |
| 264 | 142 | 145037 |
| 263 | 119 | 145156 |
| 262 | 113 | 145269 |
| 261 | 133 | 145402 |
| 260 | 122 | 145524 |
| 259 | 115 | 145639 |
| 258 | 114 | 145753 |
| 257 | 115 | 145868 |
| 256 | 108 | 145976 |
| 255 | 98 | 146074 |
| 254 | 113 | 146187 |
| 253 | 112 | 146299 |
| 252 | 86 | 146385 |
| 251 | 96 | 146481 |
| 250 | 102 | 146583 |
| 249 | 88 | 146671 |
| 248 | 100 | 146771 |
| 247 | 91 | 146862 |
| 246 | 89 | 146951 |
| 245 | 79 | 147030 |
| 244 | 90 | 147120 |
| 243 | 72 | 147192 |
| 242 | 78 | 147270 |
| 241 | 83 | 147353 |
| 240 | 54 | 147407 |
| 239 | 74 | 147481 |
| 238 | 81 | 147562 |
| 237 | 80 | 147642 |
| 236 | 68 | 147710 |
| 235 | 69 | 147779 |
| 234 | 74 | 147853 |
| 233 | 62 | 147915 |
| 232 | 70 | 147985 |
| 231 | 58 | 148043 |
| 230 | 60 | 148103 |
| 229 | 56 | 148159 |
| 228 | 62 | 148221 |
| 227 | 47 | 148268 |
| 226 | 40 | 148308 |
| 225 | 53 | 148361 |
| 224 | 41 | 148402 |
| 223 | 52 | 148454 |
| 222 | 50 | 148504 |
| 221 | 42 | 148546 |
| 220 | 53 | 148599 |
| 219 | 45 | 148644 |
| 218 | 35 | 148679 |
| 217 | 48 | 148727 |
| 216 | 35 | 148762 |
| 215 | 35 | 148797 |
| 214 | 33 | 148830 |
| 213 | 30 | 148860 |
| 212 | 36 | 148896 |
| 211 | 35 | 148931 |
| 210 | 33 | 148964 |
| 209 | 30 | 148994 |
| 208 | 23 | 149017 |
| 207 | 18 | 149035 |
| 206 | 33 | 149068 |
| 205 | 25 | 149093 |
| 204 | 28 | 149121 |
| 203 | 28 | 149149 |
| 202 | 27 | 149176 |
| 201 | 26 | 149202 |
| 200 | 18 | 149220 |
| 199 | 18 | 149238 |
| 198 | 21 | 149259 |
| 197 | 17 | 149276 |
| 196 | 15 | 149291 |
| 195 | 15 | 149306 |
| 194 | 17 | 149323 |
| 193 | 14 | 149337 |
| 192 | 10 | 149347 |
| 191 | 19 | 149366 |
| 190 | 10 | 149376 |
| 189 | 10 | 149386 |
| 188 | 17 | 149403 |
| 187 | 9 | 149412 |
| 186 | 16 | 149428 |
| 185 | 15 | 149443 |
| 184 | 9 | 149452 |
| 183 | 9 | 149461 |
| 182 | 10 | 149471 |
| 181 | 9 | 149480 |
| 180 | 17 | 149497 |
| 179 | 6 | 149503 |
| 178 | 7 | 149510 |
| 177 | 12 | 149522 |
| 176 | 8 | 149530 |
| 175 | 8 | 149538 |
| 174 | 6 | 149544 |
| 173 | 4 | 149548 |
| 172 | 4 | 149552 |
| 171 | 3 | 149555 |
| 170 | 5 | 149560 |
| 169 | 9 | 149569 |
| 168 | 5 | 149574 |
| 167 | 9 | 149583 |
| 166 | 10 | 149593 |
| 165 | 6 | 149599 |
| 164 | 4 | 149603 |
| 163 | 3 | 149606 |
| 162 | 6 | 149612 |
| 161 | 1 | 149613 |
| 160 | 2 | 149615 |
| 159 | 2 | 149617 |
| 158 | 5 | 149622 |
| 157 | 3 | 149625 |
| 156 | 4 | 149629 |
| 155 | 5 | 149634 |
| 154 | 2 | 149636 |
| 153 | 3 | 149639 |
| 152 | 3 | 149642 |
| 151 | 1 | 149643 |
| 150 | 2 | 149645 |



