2025辽宁一分一段表最新出炉 高考成绩分布表【物理+历史】
时间:
辽宁 成绩查询
2025辽宁高考一分一段表已经公布:物理类707分以上的累计人数为11人,706分累计人数13人,704分累计人数19人,702分累计人数20人,700分累计人数29人,699分累计人数35人,历史类:663分累计人数22人,662分累计人数27人,661分累计人数29人,660分累计人数30人,659分累计人数40人。

2025辽宁高考一分一段表
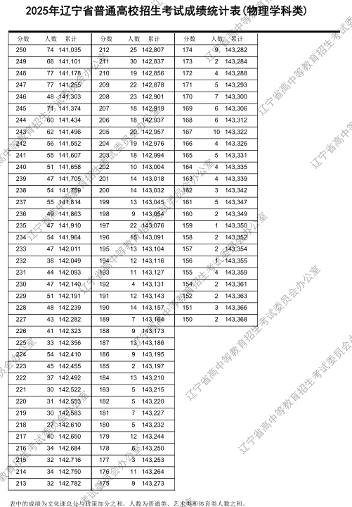
2025辽宁物理类一分一段表:




2025辽宁历史类一分一段表:




高考一分一段怎么报志愿
在“一分一段表”中查找与自己成绩相对应的分数排名和这一位次成绩共有多少考生,以确定个人成绩在全省的位置。
通过“一分一段表”,考生可以知道自己的高考成绩在今年全省同科类考生中的位次(排名),再对比预填报学校往年校线分数所对应的位次,如果两个位次一致和相当,填报后录取的可能性就大;如果两者相差过大,落选的可能性就大。
找准位次比单纯比较分数更准确。因此,考生不能仅凭分数填报志愿,而应充分利用“一分一段表”,以成绩排名作为填报参考。
什么是高考位次



