分数线
高考政策
高考新闻
高考时间
成绩查询
高考体检
录取查询
高考报名
高考状元
今日推荐
高考大纲
mksports -
>
上海高考
>
上海高考资讯
>
上海高考新闻
>
上海2025年高考一分一段表公布
时间:
2025-06-23
上海
高考新闻
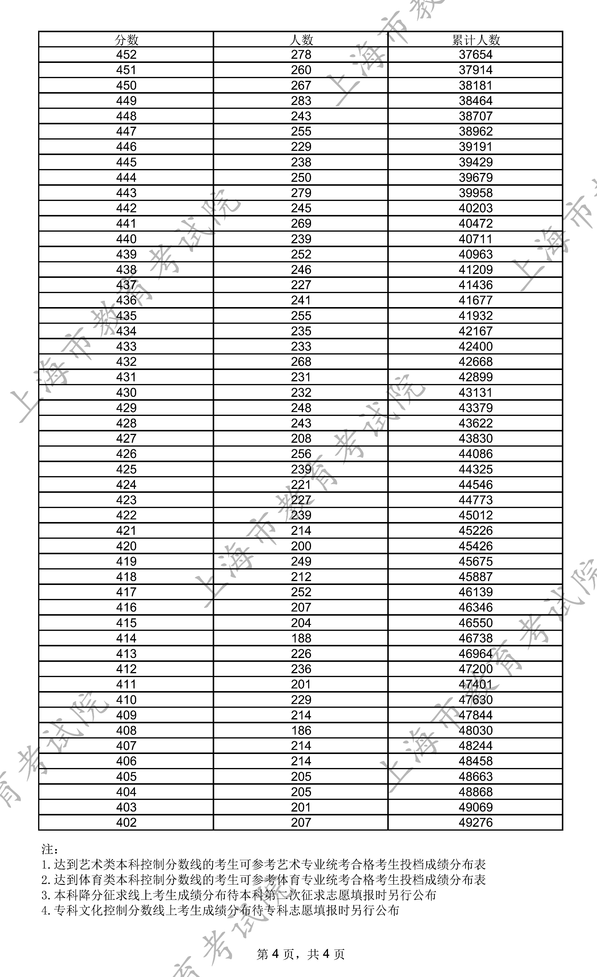
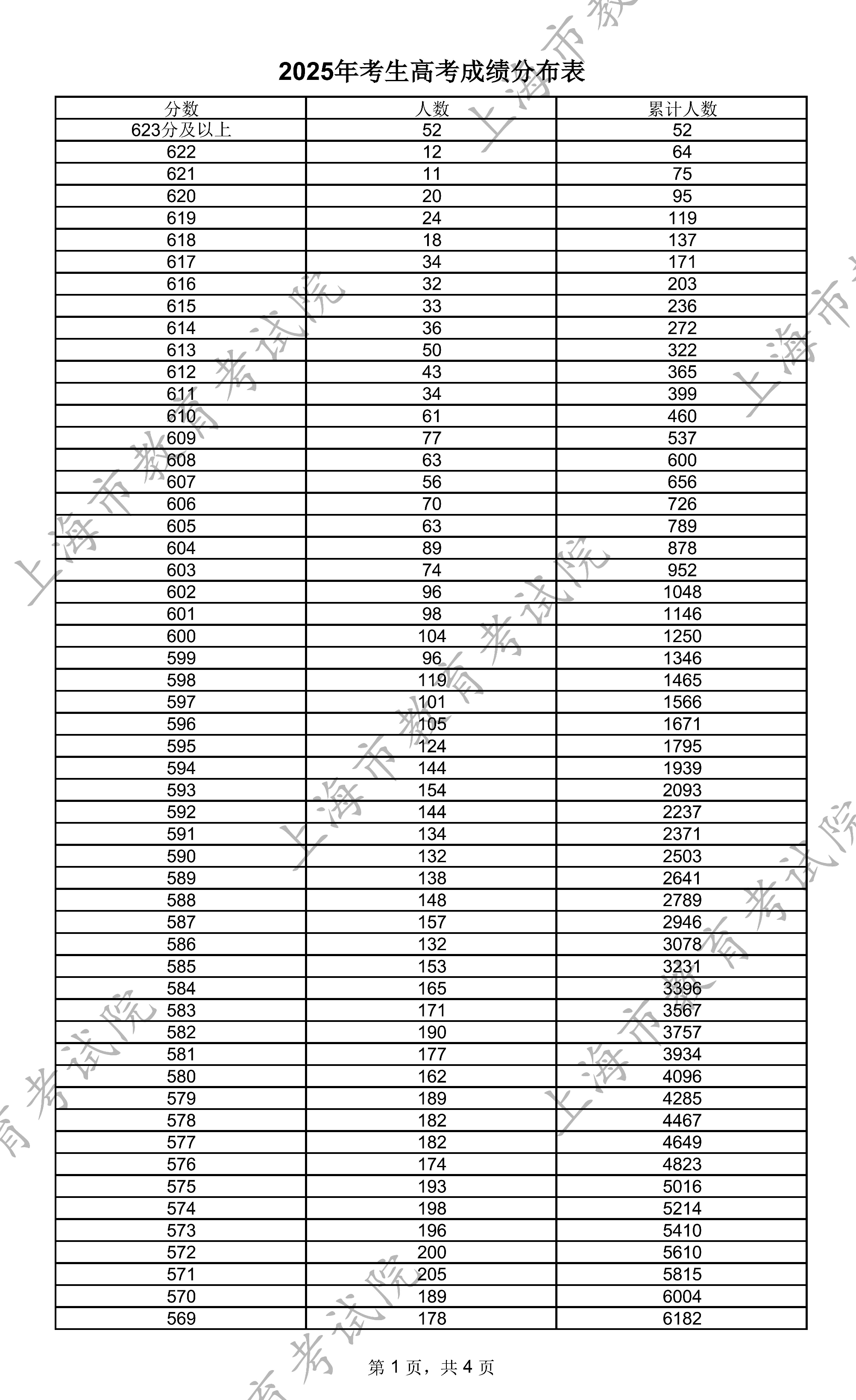
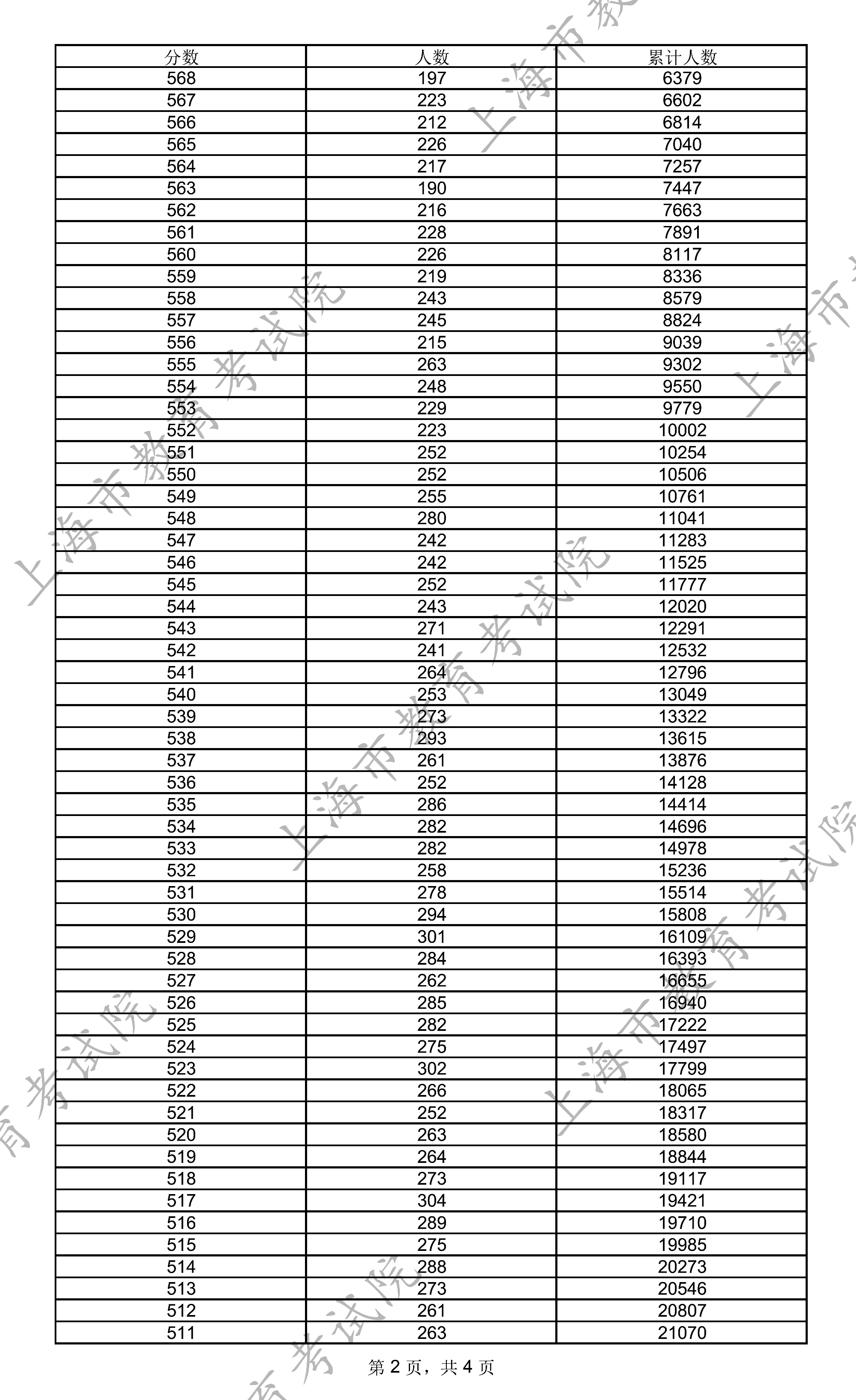
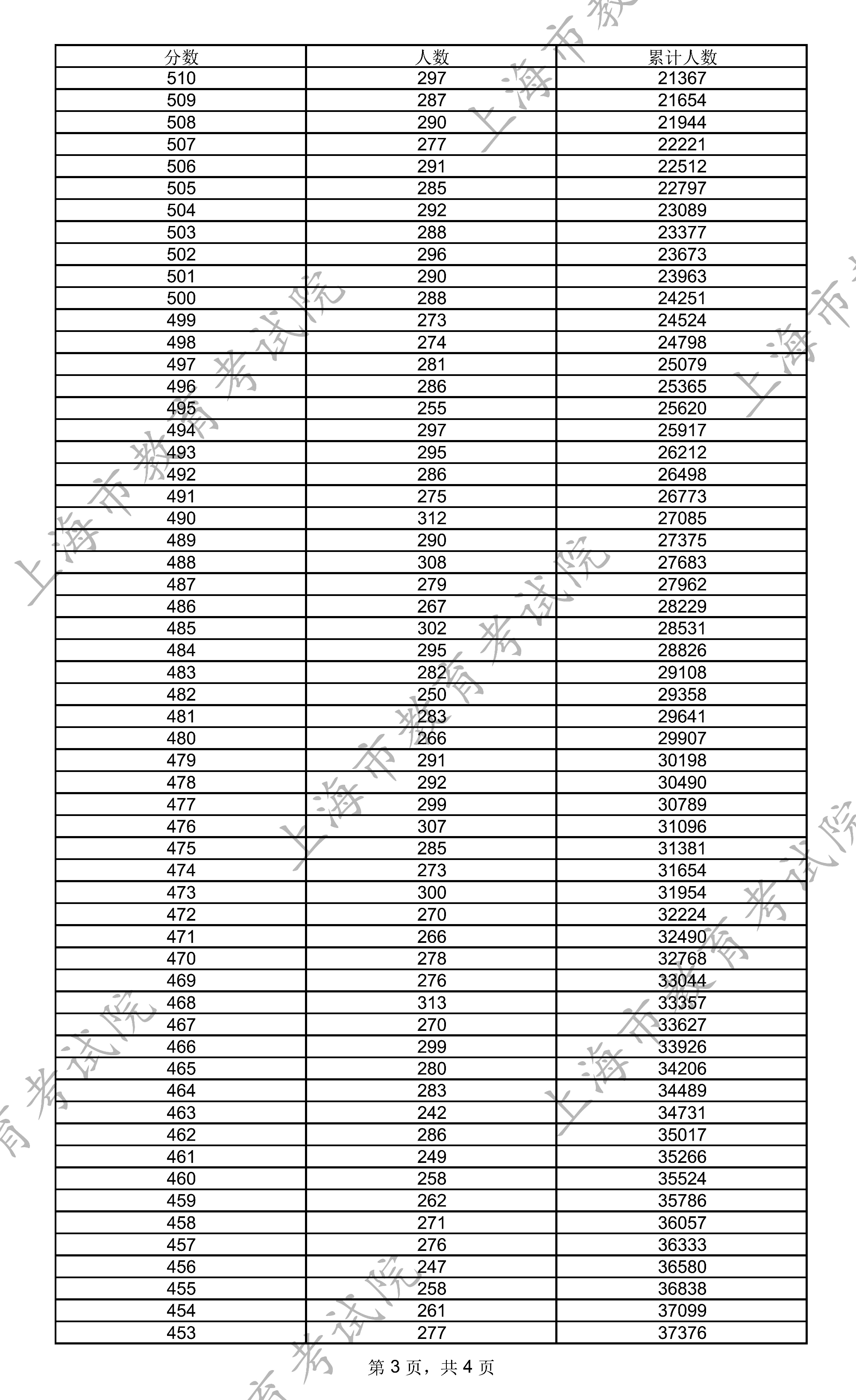
上海2025年高考一分一段表公布,49276人在本科线及以上。
相关文章
上海2025年高考分数线已公布!快来查分吧
2025美术生文化课439分能上上海出版印刷高等专科学校吗
本科线402、特招线505!上海近五年高考录取分数线变化趋势
49276人超本科线!上海2025年高考一分一段表公布
上海2025年高考一分一段表公布
上海2025年本科阶段考生各类别成绩分布表
上海2025年高考录取分数线是多少?
热门推荐
2025高考规则、考试必带物品清单
06-04
2025年四川艺考各专业统考合格分数线公布
06-14
2025高考蒙题规律和技巧
06-04
4
2025高考语文作文题难度分析 专家点评+权威解析
5
高考作文难?最新解析出炉!AI纷纷交卷
6
时政新闻摘抄2023年最新-2023时事政治热点事件
7
时政新闻摘抄2023年最新-2023年十大时事新闻
8
2022年江苏高考人数有多少?较去年增加了吗?
9
广东省2022年高考人数为70.2万人 共设501个常规考点、超2.4万个常规考场
10
中国最著名的军校有哪几所?中国最顶级的六大军校?
最新文章
2025美术生文化课507分能上四川民族学院吗
上海市2025年普通高校招生综合评价批次入围考生成绩分布表
2025舞蹈生文化课604分能上上海政法学院吗
2025年山西财经大学在重庆招生代码及专业代码 山西财经大学重庆代码是多少?怎么查询?
2025音乐生文化课256分能上江西建设职业技术学院吗
2025音乐生文化课422分能上安徽财贸职业学院吗
天津戏剧学专业各大学录取分数线:最低520分能上 开设院校及位次
上海2025美术与设计类专业统考本科成绩一分一段位次排名情况
2025音乐生文化课528分能上深圳大学吗
天津集装箱运输管理专业各大学录取分数线:最低243分能上 开设院校及位次
2025美术生文化课519分能上潍坊学院吗
米兰网web版
|
安博手机平台-安博(中国)
|
米兰官方网页版
|
星空在线
|
赢博平台
|
开云手机官方版在线入口
|
天行在线客服
|
雷火·竞技(中国区)电竞官网
|
安博手机网页版-安博(中国)官方
|