广东2025高考历史类一分一段表 附位次排名对应大学
时间:
广东 成绩查询
根据下文内容可知,广东2025年高考历史类一分一段表已经为大家整理好了,其中,666分,人数5人,位次48;648分,人数23人,位次267。以下是关于广东高考位次排名对应大学的详细内容,一起来看看吧。

2025广东高考历史一分一段表
2025年广东高考历史一分一段表出炉。一分一段表可以帮助考生明确自己在本省市的排名情况,了解自己与同分考生的竞争位置。以下是详细内容,大家可以看一看。
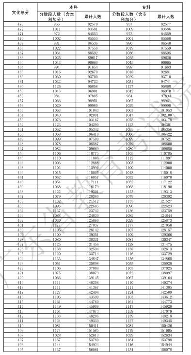
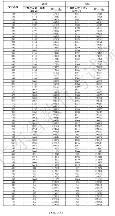
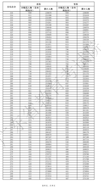
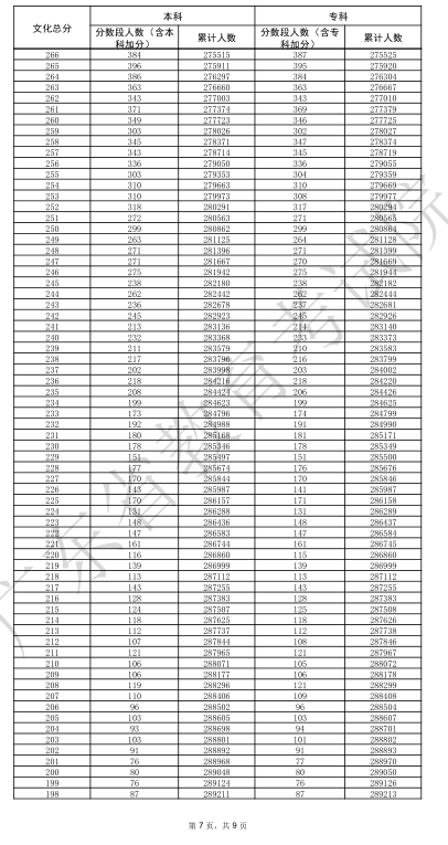
2025广东高考历史类一分一段整理:









下文是为大家整理的2024年广东高考历史一分一段的数据,大家可以看一看:
广东2024年历史一分一段表
| 分数 | 人数 | 位次 |
| 665(含以上) | 20 | 20 |
| 664 | 3 | 23 |
| 663 | 6 | 29 |
| 662 | 6 | 35 |
| 661 | 5 | 40 |
| 660 | 6 | 46 |
| 659 | 7 | 53 |
| 658 | 3 | 56 |
| 657 | 9 | 65 |
| 656 | 11 | 76 |
| 655 | 11 | 87 |
| 654 | 14 | 101 |
| 653 | 6 | 107 |
| 652 | 11 | 118 |
| 651 | 9 | 127 |
| 650 | 13 | 140 |
| 649 | 9 | 149 |
| 648 | 13 | 162 |
| 647 | 14 | 176 |
| 646 | 10 | 186 |
| 645 | 17 | 203 |
| 644 | 20 | 223 |
| 643 | 17 | 240 |
| 642 | 4 | 244 |
| 641 | 12 | 256 |
| 640 | 24 | 280 |
| 639 | 22 | 302 |
| 638 | 29 | 331 |
| 637 | 29 | 360 |
| 636 | 25 | 385 |
| 635 | 24 | 409 |
| 634 | 33 | 442 |
| 633 | 36 | 478 |
| 632 | 29 | 507 |
| 631 | 41 | 548 |
| 630 | 45 | 593 |
| 629 | 37 | 630 |
| 628 | 49 | 679 |
| 627 | 43 | 722 |
| 626 | 54 | 776 |
| 625 | 52 | 828 |
| 624 | 52 | 880 |
| 623 | 67 | 947 |
| 622 | 73 | 1020 |
| 621 | 45 | 1065 |
| 620 | 87 | 1152 |
| 619 | 45 | 1197 |
| 618 | 77 | 1274 |
| 617 | 80 | 1354 |
| 616 | 60 | 1414 |
| 615 | 80 | 1494 |
| 614 | 72 | 1566 |
| 613 | 91 | 1657 |
| 612 | 83 | 1740 |
| 611 | 80 | 1820 |
| 610 | 101 | 1921 |
| 609 | 84 | 2005 |
| 608 | 92 | 2097 |
| 607 | 122 | 2219 |
| 606 | 140 | 2359 |
| 605 | 107 | 2466 |
| 604 | 116 | 2582 |
| 603 | 113 | 2695 |
| 602 | 122 | 2817 |
| 601 | 128 | 2945 |
| 600 | 101 | 3046 |
| 599 | 135 | 3181 |
| 598 | 120 | 3301 |
| 597 | 122 | 3423 |
| 596 | 121 | 3544 |
| 595 | 165 | 3709 |
| 594 | 163 | 3872 |
| 593 | 152 | 4024 |
| 592 | 165 | 4189 |
| 591 | 166 | 4355 |
| 590 | 168 | 4523 |
| 589 | 151 | 4674 |
| 588 | 164 | 4838 |
| 587 | 177 | 5015 |
| 586 | 183 | 5198 |
| 585 | 200 | 5398 |
| 584 | 196 | 5594 |
| 583 | 207 | 5801 |
| 582 | 187 | 5988 |
| 581 | 210 | 6198 |
| 580 | 194 | 6392 |
| 579 | 204 | 6596 |
| 578 | 236 | 6832 |
| 577 | 214 | 7046 |
| 576 | 242 | 7288 |
| 575 | 240 | 7528 |
| 574 | 230 | 7758 |
| 573 | 231 | 7989 |
| 572 | 237 | 8226 |
| 571 | 249 | 8475 |
| 570 | 279 | 8754 |
| 569 | 246 | 9000 |
| 568 | 245 | 9245 |
| 567 | 245 | 9490 |
| 566 | 225 | 9715 |
| 565 | 271 | 9986 |
| 564 | 297 | 10283 |
| 563 | 288 | 10571 |
| 562 | 313 | 10884 |
| 561 | 250 | 11134 |
| 560 | 320 | 11454 |
| 559 | 319 | 11773 |
| 558 | 313 | 12086 |
| 557 | 315 | 12401 |
| 556 | 340 | 12741 |
| 555 | 312 | 13053 |
| 554 | 335 | 13388 |
| 553 | 308 | 13696 |
| 552 | 346 | 14042 |
| 551 | 350 | 14392 |
| 550 | 386 | 14778 |
| 549 | 325 | 15103 |
| 548 | 373 | 15476 |
| 547 | 391 | 15867 |
| 546 | 426 | 16293 |
| 545 | 354 | 16647 |
| 544 | 419 | 17066 |
| 543 | 374 | 17440 |
| 542 | 367 | 17807 |
| 541 | 418 | 18225 |
| 540 | 389 | 18614 |
| 539 | 426 | 19040 |
| 538 | 394 | 19434 |
| 537 | 456 | 19890 |
| 536 | 422 | 20312 |
| 535 | 408 | 20720 |
| 534 | 404 | 21124 |
| 533 | 449 | 21573 |
| 532 | 420 | 21993 |
| 531 | 455 | 22448 |
| 530 | 456 | 22904 |
| 529 | 502 | 23406 |
| 528 | 434 | 23840 |
| 527 | 463 | 24303 |
| 526 | 493 | 24796 |
| 525 | 510 | 25306 |
| 524 | 486 | 25792 |
| 523 | 505 | 26297 |
| 522 | 470 | 26767 |
| 521 | 501 | 27268 |
| 520 | 473 | 27741 |
| 519 | 506 | 28247 |
| 518 | 527 | 28774 |
| 517 | 540 | 29314 |
| 516 | 583 | 29897 |
| 515 | 527 | 30424 |
| 514 | 557 | 30981 |
| 513 | 515 | 31496 |
| 512 | 567 | 32063 |
| 511 | 570 | 32633 |
| 510 | 530 | 33163 |
| 509 | 615 | 33778 |
| 508 | 546 | 34324 |
| 507 | 604 | 34928 |
| 506 | 602 | 35530 |
| 505 | 589 | 36119 |
| 504 | 639 | 36758 |
| 503 | 629 | 37387 |
| 502 | 655 | 38042 |
| 501 | 616 | 38658 |
| 500 | 624 | 39282 |
| 499 | 641 | 39923 |
| 498 | 616 | 40539 |
| 497 | 646 | 41185 |
| 496 | 656 | 41841 |
| 495 | 629 | 42470 |
| 494 | 650 | 43120 |
| 493 | 648 | 43768 |
| 492 | 669 | 44437 |
| 491 | 674 | 45111 |
| 490 | 722 | 45833 |
| 489 | 721 | 46554 |
| 488 | 682 | 47236 |
| 487 | 688 | 47924 |
| 486 | 718 | 48642 |
| 485 | 658 | 49300 |
| 484 | 729 | 50029 |
| 483 | 749 | 50778 |
| 482 | 692 | 51470 |
| 481 | 703 | 52173 |
| 480 | 750 | 52923 |
| 479 | 807 | 53730 |
| 478 | 735 | 54465 |
| 477 | 739 | 55204 |
| 476 | 730 | 55934 |
| 475 | 767 | 56701 |
| 474 | 746 | 57447 |
| 473 | 722 | 58169 |
| 472 | 696 | 58865 |
| 471 | 759 | 59624 |
| 470 | 752 | 60376 |
| 469 | 762 | 61138 |
| 468 | 757 | 61895 |
| 467 | 761 | 62656 |
| 466 | 809 | 63465 |
| 465 | 739 | 64204 |
| 464 | 828 | 65032 |
| 463 | 795 | 65827 |
| 462 | 809 | 66636 |
| 461 | 723 | 67359 |
| 460 | 897 | 68256 |
| 459 | 830 | 69086 |
| 458 | 838 | 69924 |
| 457 | 805 | 70729 |
| 456 | 858 | 71587 |
| 455 | 790 | 72377 |
| 454 | 815 | 73192 |
| 453 | 863 | 74055 |
| 452 | 809 | 74864 |
| 451 | 894 | 75758 |
| 450 | 837 | 76595 |
| 449 | 855 | 77450 |
| 448 | 853 | 78303 |
| 447 | 769 | 79072 |
| 446 | 855 | 79927 |
| 445 | 899 | 80826 |
| 444 | 857 | 81683 |
| 443 | 908 | 82591 |
| 442 | 860 | 83451 |
| 441 | 905 | 84356 |
| 440 | 833 | 85189 |
| 439 | 921 | 86110 |
| 438 | 938 | 87048 |
| 437 | 886 | 87934 |
| 436 | 902 | 88836 |
| 435 | 916 | 89752 |
| 434 | 882 | 90634 |
| 433 | 923 | 91557 |
| 432 | 998 | 92555 |
| 431 | 947 | 93502 |
| 430 | 888 | 94390 |
| 429 | 952 | 95342 |
| 428 | 924 | 96266 |
| 427 | 953 | 97219 |
| 426 | 973 | 98192 |
| 425 | 861 | 99053 |
| 424 | 938 | 99991 |
| 423 | 968 | 100959 |
| 422 | 960 | 101919 |
| 421 | 1047 | 102966 |
| 420 | 940 | 103906 |
| 419 | 952 | 104858 |
| 418 | 992 | 105850 |
| 417 | 960 | 106810 |
| 416 | 966 | 107776 |
| 415 | 894 | 108670 |
| 414 | 985 | 109655 |
| 413 | 976 | 110631 |
| 412 | 1018 | 111649 |
| 411 | 944 | 112593 |
| 410 | 951 | 113544 |
| 409 | 1001 | 114545 |
| 408 | 1000 | 115545 |
| 407 | 1039 | 116584 |
| 406 | 989 | 117573 |
| 405 | 1032 | 118605 |
| 404 | 972 | 119577 |
| 403 | 1060 | 120637 |
| 402 | 1006 | 121643 |
| 401 | 1027 | 122670 |
| 400 | 1041 | 123711 |
| 399 | 1006 | 124717 |
| 398 | 1011 | 125728 |
| 397 | 1068 | 126796 |
| 396 | 1033 | 127829 |
| 395 | 1058 | 128887 |
| 394 | 974 | 129861 |
| 393 | 1039 | 130900 |
| 392 | 1069 | 131969 |
| 391 | 1007 | 132976 |
| 390 | 1016 | 133992 |
| 389 | 989 | 134981 |
| 388 | 1070 | 136051 |
| 387 | 1048 | 137099 |
| 386 | 1061 | 138160 |
| 385 | 1043 | 139203 |
| 384 | 1083 | 140286 |
| 383 | 1133 | 141419 |
| 382 | 1087 | 142506 |
| 381 | 1082 | 143588 |
| 380 | 1059 | 144647 |
| 379 | 1118 | 145765 |
| 378 | 1030 | 146795 |
| 377 | 1014 | 147809 |
| 376 | 1008 | 148817 |
| 375 | 1054 | 149871 |
| 374 | 1072 | 150943 |
| 373 | 1103 | 152046 |
| 372 | 1042 | 153088 |
| 371 | 1078 | 154166 |
| 370 | 1062 | 155228 |
| 369 | 1019 | 156247 |
| 368 | 1032 | 157279 |
| 367 | 1043 | 158322 |
| 366 | 961 | 159283 |
| 365 | 1046 | 160329 |
| 364 | 1076 | 161405 |
| 363 | 1120 | 162525 |
| 362 | 1051 | 163576 |
| 361 | 1049 | 164625 |
| 360 | 1068 | 165693 |
| 359 | 1066 | 166759 |
| 358 | 1079 | 167838 |
| 357 | 1118 | 168956 |
| 356 | 1067 | 170023 |
| 355 | 1035 | 171058 |
| 354 | 1079 | 172137 |
| 353 | 1062 | 173199 |
| 352 | 1070 | 174269 |
| 351 | 1060 | 175329 |
| 350 | 1085 | 176414 |
| 349 | 1063 | 177477 |
| 348 | 1044 | 178521 |
| 347 | 1053 | 179574 |
| 346 | 1084 | 180658 |
| 345 | 1089 | 181747 |
| 344 | 1023 | 182770 |
| 343 | 1025 | 183795 |
| 342 | 1016 | 184811 |
| 341 | 1067 | 185878 |
| 340 | 1087 | 186965 |
| 339 | 1016 | 187981 |
| 338 | 983 | 188964 |
| 337 | 988 | 189952 |
| 336 | 1058 | 191010 |
| 335 | 1034 | 192044 |
| 334 | 1020 | 193064 |
| 333 | 1005 | 194069 |
| 332 | 959 | 195028 |
| 331 | 1022 | 196050 |
| 330 | 953 | 197003 |
| 329 | 1000 | 198003 |
| 328 | 975 | 198978 |
| 327 | 986 | 199964 |
| 326 | 949 | 200913 |
| 325 | 997 | 201910 |
| 324 | 981 | 202891 |
| 323 | 905 | 203796 |
| 322 | 940 | 204736 |
| 321 | 980 | 205716 |
| 320 | 980 | 206696 |
| 319 | 919 | 207615 |
| 318 | 925 | 208540 |
| 317 | 906 | 209446 |
| 316 | 943 | 210389 |
| 315 | 954 | 211343 |
| 314 | 911 | 212254 |
| 313 | 924 | 213178 |
| 312 | 913 | 214091 |
| 311 | 926 | 215017 |
| 310 | 886 | 215903 |
| 309 | 885 | 216788 |
| 308 | 887 | 217675 |
| 307 | 852 | 218527 |
| 306 | 891 | 219418 |
| 305 | 892 | 220310 |
| 304 | 853 | 221163 |
| 303 | 823 | 221986 |
| 302 | 837 | 222823 |
| 301 | 796 | 223619 |
| 300 | 794 | 224413 |
| 299 | 803 | 225216 |
| 298 | 830 | 226046 |
| 297 | 799 | 226845 |
| 296 | 804 | 227649 |
| 295 | 780 | 228429 |
| 294 | 798 | 229227 |
| 293 | 810 | 230037 |
| 292 | 745 | 230782 |
| 291 | 766 | 231548 |
| 290 | 794 | 232342 |
| 289 | 737 | 233079 |
| 288 | 756 | 233835 |
| 287 | 757 | 234592 |
| 286 | 737 | 235329 |
| 285 | 751 | 236080 |
| 284 | 733 | 236813 |
| 283 | 692 | 237505 |
| 282 | 695 | 238200 |
| 281 | 682 | 238882 |
| 280 | 682 | 239564 |
| 279 | 701 | 240265 |
| 278 | 698 | 240963 |
| 277 | 636 | 241599 |
| 276 | 663 | 242262 |
| 275 | 698 | 242960 |
| 274 | 614 | 243574 |
| 273 | 633 | 244207 |
| 272 | 611 | 244818 |
| 271 | 593 | 245411 |
| 270 | 564 | 245975 |
| 269 | 604 | 246579 |
| 268 | 575 | 247154 |
| 267 | 556 | 247710 |
| 266 | 563 | 248273 |
| 265 | 567 | 248840 |
| 264 | 512 | 249352 |
| 263 | 533 | 249885 |
| 262 | 507 | 250392 |
| 261 | 480 | 250872 |
| 260 | 512 | 251384 |
| 259 | 474 | 251858 |
| 258 | 480 | 252338 |
| 257 | 483 | 252821 |
| 256 | 478 | 253299 |
| 255 | 426 | 253725 |
| 254 | 456 | 254181 |
| 253 | 432 | 254613 |
| 252 | 390 | 255003 |
| 251 | 440 | 255443 |
| 250 | 364 | 255807 |
| 249 | 444 | 256251 |
| 248 | 383 | 256634 |
| 247 | 370 | 257004 |
| 246 | 369 | 257373 |
| 245 | 364 | 257737 |
| 244 | 387 | 258124 |
| 243 | 371 | 258495 |
| 242 | 326 | 258821 |
| 241 | 332 | 259153 |
| 240 | 335 | 259488 |
| 239 | 296 | 259784 |
| 238 | 263 | 260047 |
| 237 | 285 | 260332 |
| 236 | 302 | 260634 |
| 235 | 292 | 260926 |
| 234 | 287 | 261213 |
| 233 | 266 | 261479 |
| 232 | 264 | 261743 |
| 231 | 241 | 261984 |
| 230 | 243 | 262227 |
| 229 | 221 | 262448 |
| 228 | 213 | 262661 |
| 227 | 225 | 262886 |
| 226 | 218 | 263104 |
| 225 | 192 | 263296 |
| 224 | 189 | 263485 |
| 223 | 176 | 263661 |
| 222 | 201 | 263862 |
| 221 | 174 | 264036 |
| 220 | 192 | 264228 |
| 219 | 153 | 264381 |
| 218 | 151 | 264532 |
| 217 | 140 | 264672 |
| 216 | 129 | 264801 |
| 215 | 133 | 264934 |
| 214 | 112 | 265046 |
| 213 | 122 | 265168 |
| 212 | 140 | 265308 |
| 211 | 131 | 265439 |
| 210 | 104 | 265543 |
| 209 | 101 | 265644 |
| 208 | 101 | 265745 |
| 207 | 93 | 265838 |
| 206 | 103 | 265941 |
| 205 | 95 | 266036 |
| 204 | 105 | 266141 |
| 203 | 79 | 266220 |
| 202 | 79 | 266299 |
| 201 | 71 | 266370 |
| 200 | 66 | 266436 |
| 199 | 77 | 266513 |
| 198 | 73 | 266586 |
| 197 | 64 | 266650 |
| 196 | 60 | 266710 |
| 195 | 66 | 266776 |
| 194 | 62 | 266838 |
| 193 | 55 | 266893 |
| 192 | 64 | 266957 |
| 191 | 49 | 267006 |
| 190 | 58 | 267064 |
| 189 | 60 | 267124 |
| 188 | 51 | 267175 |
| 187 | 44 | 267219 |
| 186 | 54 | 267273 |
| 185 | 51 | 267324 |
| 184 | 53 | 267377 |
| 183 | 44 | 267421 |
| 182 | 44 | 267465 |
| 181 | 41 | 267506 |
| 180 | 45 | 267551 |
| 179 | 44 | 267595 |
| 178 | 41 | 267636 |
| 177 | 43 | 267679 |
| 176 | 40 | 267719 |
| 175 | 47 | 267766 |
| 174 | 38 | 267804 |
| 173 | 33 | 267837 |
| 172 | 29 | 267866 |
| 171 | 32 | 267898 |
| 170 | 46 | 267944 |
| 169 | 30 | 267974 |
| 168 | 29 | 268003 |
| 167 | 33 | 268036 |
| 166 | 31 | 268067 |
| 165 | 34 | 268101 |
| 164 | 37 | 268138 |
| 163 | 25 | 268163 |
| 162 | 31 | 268194 |
| 161 | 27 | 268221 |
| 160 | 31 | 268252 |
| 159 | 30 | 268282 |
| 158 | 27 | 268309 |
| 157 | 23 | 268332 |
| 156 | 26 | 268358 |
| 155 | 21 | 268379 |
| 154 | 37 | 268416 |
| 153 | 28 | 268444 |
| 152 | 17 | 268461 |
| 151 | 20 | 268481 |
| 150 | 19 | 268500 |
| 149 | 26 | 268526 |
| 148 | 31 | 268557 |
| 147 | 14 | 268571 |
| 146 | 26 | 268597 |
| 145 | 20 | 268617 |
| 144 | 17 | 268634 |
| 143 | 10 | 268644 |
| 142 | 11 | 268655 |
| 141 | 12 | 268667 |
| 140 | 16 | 268683 |
| 139 | 6 | 268689 |
| 138 | 10 | 268699 |
| 137 | 11 | 268710 |
| 136 | 12 | 268722 |
| 135 | 10 | 268732 |
| 134 | 12 | 268744 |
| 133 | 15 | 268759 |
| 132 | 9 | 268768 |
| 131 | 11 | 268779 |
| 130 | 7 | 268786 |
| 129 | 8 | 268794 |
| 128 | 7 | 268801 |
| 127 | 12 | 268813 |
| 126 | 5 | 268818 |
| 125 | 9 | 268827 |
| 124 | 9 | 268836 |
| 123 | 7 | 268843 |
| 122 | 7 | 268850 |
| 121 | 11 | 268861 |
| 120 | 11 | 268872 |
| 119 | 10 | 268882 |
| 118 | 5 | 268887 |
| 117 | 10 | 268897 |
| 116 | 8 | 268905 |
| 115 | 9 | 268914 |
| 114 | 8 | 268922 |
| 113 | 10 | 268932 |
| 112 | 4 | 268936 |
| 111 | 7 | 268943 |
| 110 | 9 | 268952 |
| 109 | 8 | 268960 |
| 108 | 12 | 268972 |
| 107 | 6 | 268978 |
| 106 | 11 | 268989 |
| 105 | 4 | 268993 |
| 104 | 4 | 268997 |
| 103 | 4 | 269001 |
| 102 | 8 | 269009 |
| 101 | 8 | 269017 |
| 100 | 7 | 269024 |
2025广东高考历史类多少分能上什么大学
中分段(500-550分)
省内:广东工业大学(最低分534)、广州大学(最低分531)、广东外语外贸大学(最低分529)、汕头大学(最低分527)、广东财经大学(最低分524)、广东医科大学(最低分521)、广东海洋大学(最低分518)、佛山科学技术学院(最低分515)、东莞理工学院(最低分512)、广东药科大学(最低分509)、广东技术师范大学(最低分506)、仲恺农业工程学院(最低分503)、五邑大学(最低分500)。
省外:可关注哈尔滨金融学院(487分)等。
注:以上数据是基于2024年的录取情况,2025年的录取分数线可能会有所变化。



