衡水金卷2020年高考模拟押题卷理综试题
【衡水金卷】河北省衡水中学2020届高考模拟押题卷(一)
理科综合能力测试
注意事项:
1.本试卷分第I卷(选择题)和第Ⅱ卷(非选择题)两部分。答卷前,考生务必将自己的姓名、准考证号填写在答题卡上。
2.回答第I卷时,选出每小题答案后,用铅笔把答题卡上对应题目的答案标号涂黑。如需改动,用橡皮擦干净后,再选涂其他答案标号。写在本试卷上无效。
3.回答第Ⅱ卷时,将答案写在答题卡上。写在本试卷上无效。
4.考试结束后,将本试卷和答题卡一并交回。
可能用到的相对原子质量:H1C12N14O16Si28Fe56
第I卷
一、选择题:本题共13小题,每小题6分。在每小题给出的四个选项中,只有一项是符合题目要求的。
1.下列关于细胞中某些物质的叙述,错误的是
A.组成纤维素、淀粉、糖原的单体是相同的
B.RNA可以在细胞核或某些细胞器中合成
C.抗体的形成与分泌需要ATP直接提供能量
D.激素和神经递质的合成是在核糖体上进行的
2.甲乙两种物质在胰岛B细胞内、外的浓度情况如图所示,下列相关叙述正确的是

A.甲可以是Na+,胰岛B细胞兴奋时Na+内流会导致细胞内Na+浓度高于细胞外
B.甲可以是氧气,其进入细胞后可以在细胞质基质或线粒体参与相关反应
C.乙可以是DNA,其运出细胞后可将遗传信息传递给其他细胞
D.乙可以是胰岛素,其运出细胞时不需要载体的协助
3.如图表示生物体内遗传信息的传递和表达过程,下列叙述不正确的是

A.上述过程均需要模板、酶、能量和原料,并且均遵循碱基互补配对原则
B.在神经细胞和甲状腺细胞中均能进行2过程,并且形成的RNA也相同
C.过程3中涉及到5种碱基和8种核苷酸
D.RNA发生改变,通过5过程形成的蛋白质不一定发生改变
4.下列关于植物激素、植物生长调节剂的叙述中,不合理的是
A.植物激素不直接参与细胞代谢,只传递调节代谢的信息
B.用一定浓度的赤霉素处理种子可以促进其萌发
C.给去掉尖端的胚芽鞘放置含生长素的琼脂块后仍能生长,说明生长素可促进生长
D.生长素和细胞分裂素在促进植株生长方面存在协同关系

5.下图是某家族甲病(A-a)和乙病(B-b)的遗传系谱图。其中Ⅱ-8不含致病基因,下列叙述正确的是
A.甲病为常染色体隐性遗传病,乙病为伴X隐性遗传病
B.III-11为纯合子的概率为1/4
C.III-12的基因型为aaXBXb
D.III-10和III-13结婚,所生孩子只患甲病的概率是5/8
6.某人用透明的玻璃瓶,种上几根水草,添加一定量的池塘水,再放入适量的小鱼,定期投入食物,其中的生物可以存活很长时间。下列相关叙述错误的是
A.池塘水中的微生物对生态系统的物质循环具有重要的作用
B.水草所固定的太阳能仅是流经该生态系统总能量的一部分
C.小鱼用于自身生长发育繁殖的能量,有一部分通过呼吸作用散失
D.该装置要放在通风、光线良好的地方,但要避免阳光直射
7.屠呦呦因发现了青蒿素这种抗疟良药而获得2015年诺贝尔奖,这充分说明了“化学让人们生活更美好”。下列不属于化学反应在生活中的应用的是
A.将氧化铁添加到油漆中制红色油漆
B.用给自来水消毒
C.将粘土烧制成精美的瓷器
D.用食醋清洗水壶中的水垢
8.设NA代表阿伏加德罗常数的值,下列叙述正确的是
A.常温常压下,28g14CO和N2的混合物所含的质子数为14NA
B.常温下,100mL1mol·L-1Na2CO3溶液中阴离子总数大于0.1NA
C.将NA个NH3分子溶于1L水中得到1mol·L-1的氨水
D.1molCl2分别与足量的铁或氢氧化钠溶液反应,转移电子数均为2NA
9.X、Y、Z、W为原子序数依次增大的短周期主族元素,X元素的一种原子不含中子,Y元素在大气中存在两种常见单质,Z与X处于同一主族,W原子最外层电子数是次外层电子数的0.875倍。下列叙述正确的是
A.原子半径的大小顺序:r(W)>r(Z)>r(Y)>r(X)
B.最简单氢化物的沸点:Y>W
C.化合物Z2Y2与X2Y2中化学键完全相同
D.由Y、Z、W三种元素组成的化合物的水溶液一定显中性
10.如图表示除去X中所含杂质的过程。下列方案不能达到目的的是


11.下列离子方程式书写正确的是
A.向NaAlO2溶液中通入过量CO2制A1(OH)3:2AlO2-+CO2+3H2O===2Al(OH)3↓+CO32-
B.向Fe(NO3)3溶液中加入过量的HI溶液:2NO3-+8H++6I-===3I2+2NO↑+4H2O
C.用硫酸酸化的淀粉碘化钾溶液在空气中变蓝:4I-+O2+4H+===2I2+2H2O
D.向NH4Al(SO4)2溶液中滴加Ba(OH)2恰好使SO42-反应完全:2Ba2++4OH-+A13++2SO42-===2BaSO4↓+A1O2-+2H2O
12.下列有机物的同分异构体数目(不考虑立体异构)由小到大的顺序是

A.③②①B.②③①
C.③①②D.②①③
13.已知:T℃时,Ksp(CaSO4)=4.90×10-5、Ksp(CaCO3)=2.8×10-9、Ksp(PbCO3)=8.4×10-14,三种盐的沉淀溶解平衡曲线如图所示,pM=-lgc(阴离子)、pN=-lgc(阳离子)。下列说法正确的是
A.a线代表的是PbCO3
B.T℃时,向10mL水中加入CaCO3和PbCO3至二者均饱和,溶液中c(Ca2+):c(Pb2+)=3×10-5。
C.T℃时,向CaSO4沉淀中加入1mol/L的Na2CO3溶液,CaSO4沉淀会转化为CaCO3沉淀
D.T℃时,向CaCO3悬浊液中加入NH4Cl固体,会使图象中d点向f点转化
二、选择题:本题共8小题.每小题6分。在每小题给出的四个选项中.第14~18题只有一项符合题目要求.第19~21题有多项符合题目要求。全部选对的得6分。选对但不全的得3分。有选错的得0分。
14.2020年我国将择机发射“天宫二号”空间实验室,以期掌握推进剂的在轨补加技术和解决航天员中期驻留问题。随后还将发射“神舟十一号”载人飞船和“天舟一号”货运飞船与“天宫二号”空间实验室进行对接,逐步组建我们的空间站。若发射后的“天宫二号”和“天舟一号”对接前运行的轨道为如图所示的两个圆形轨道,其中“天宫二号”在较高轨道上运行,A、B、C为两轨道同一直线上的三个点,O点为地心,现让“天舟一号”变轨加速(可简化为一次短时加速)实现二者对接,下列有关描述中正确的是

A.“天舟一号”在B点加速时可在C点与“天宫二号"实现对接
B.“天舟一号”加速后变轨对接过程中的速度一直在增大
C.“天舟一号”与“天宫二号”组合体的加速度大于“天舟一号”加速前的加速度
D.“天舟一号”与“天宫二号”组合体绕行周期大于“天舟一号”加速前的绕行周期
15.如图为某种型号手机充电器的简化电路图,其中副线圈的中心抽头有一根引线,该装置先将市网电压通过一个小型变压器后,再通过理想二极管D连接到手机电源上。已知原副线圈的匝数比为22:1,若原线圈中输入的电压为
,则下列说法正确的是
A.手机电源得到的是脉动直流电,其频率为50Hz
B.手机电源得到的是正弦交流电.其频率为50Hz
C.该装置正常工作时手机电源获得的电压为5V
D.若其中一个二极管烧坏不能通电,另一个还能工作,此时手机电源获得的电压为2.5V
16.自2014年12月份始,我国已有14个省市电子不停车收费系统(简称ETC)正式联网运行,这一系统极大地方便了司机和收费工作人员。假设汽车以15m/s的速度朝收费站匀速驶来,为了便于ETC系统完成自动甄别、记录和收费工作,汽车需要在车头距ETC收费系统中心线前15m处正好减速至5m/s,然后匀速行驶,当车头通过中心线后再匀加速到原速行驶,若设汽车减速、加速时均做匀变速运动,其加速度大小均为1m/s2,则一辆汽车通过ETC系统耽误的时间约为
A.13sB.11s
C.10sD.9s
17.在平面直角坐标系的x轴上关于原点O对称的P、Q两点各放一个等量点电荷后,x轴上各点电场强度E随坐标x的变化曲线如图所示,规定沿x轴正向为场强的正方向,则关于这两个点电荷所激发电场的有关描述中正确的有

A.将一个正检验电荷从P点沿x轴移向Q点的过程中电场力一直做正功
B.x轴上从P点到Q点的电势先升高后降低
C.若将一个正检验电荷从两点电荷连线的垂直平分线上的一侧移至另一侧对称点的过程中一定是电场力先做正功后做负功
D.若将一个正检验电荷从两点电荷连线的垂直平分线上的一侧移至另一侧对称点的过程中受到的电场力可能先减小后增大

18.一长为2.0m、质量为2kg的木板静止在粗糙水平面上,有一个质量为1kg可视为质点的小物块置于长木板右端。现对木板施加的外力F逐渐增大时,小物块所受的摩擦力f随外力F的变化关系如图所示。现改用F=22N的水平外力拉长木板,取g=10m/s2,则小物块在长木板上滑行的时间为
A.1s
B.2s
C.√2s
D.√3s
19.一条水平传送带以速度v0逆时针匀速转动,现有一物体以速度v向右冲上水平传送带,若物体与传送带间的动摩擦因数恒定,规定向右为速度的正方向,则物体在传送带上滑动时的速度随时间变化的图线可能是下图中的

20.一长L=0.5m、质量m=0.2kg的水平直导线通过绝缘细线悬挂在天花板上,整个装置处于方向竖直向上的匀强磁场B中。当导线中通以垂直于纸面向里大小为I=10A的电流,该导线静止时细线与竖直方向间的夹角
,如图所示。现保持磁感应强度的大小不变,让磁场方向在纸面内沿逆时针方向缓慢转过90°,取重力加速度g=10m/s2,已知sin37°=0.6,则下列说法中正确的有
A.磁场未转动时,绝缘细线对通电导线的拉力大小为2.5N
B.该磁场的磁感应强度大小为1.5T
C.转动过程中绝缘细线与竖直方向的夹角先变大后变小
D.转动过程中绝缘细线受到的拉力最小值为1.6N
21.如图所示,两根足够长的平行光滑金属轨道MN、PQ水平放置,轨道间距为L。现有一个质量为m,长度为L的导体棒ab垂直于轨道放置,且与轨道接触良好,导体棒和轨道电阻均可忽略不计。有一电动势为E、内阻为r的电源通过开关S连接到轨道左端,另有一个定值电阻R也连接在轨道上,且在定值电阻右侧存在着垂直于轨道平面的匀强磁场,磁感应强度的大小为B。现闭合开关S,导体棒ab开始运动,则下列叙述中正确的有
A.导体棒先做加速度逐渐减小的加速运动,当速度达到最大时导体棒中无电流
B.导体棒所能达到的最大速度为

C.导体棒稳定运动时电源的输出功率
D.导体棒稳定运动时产生的感应电动势为E
第Ⅱ卷
三、非选择题:包括必考题和选考题两部分。第22题~第32题为必考题。每个试题考生都必须做答。第33题~第40题为选考题,考生根据要求做答。
(一)必考题(共129分)
22.(6分)
在宇宙飞船上测物体的质量没有地球上那么容易。宇航员取来一个带孔的金属小球、一只弹簧测力计、一个带孔的内壁光滑的金属手柄、一段细尼龙线、一把刻度尺和一块秒表。他先将细尼龙线的一端打一个结,在线上标出一个位置并测出该标记点与结点间的距离L,然后将细尼龙线穿过金属小球(结点在球心处)和光滑金属手柄后连接到测力计上。现用手慢慢摇动手柄使金属球在如图(a)所示的平面内稳定转动时,细尼龙线的标记位置恰位于手柄上端口处,此时测力计的示数F如图(b)所示,同时另一宇航员用秒表记录了小球转动N圈所用的时间t,回答下列问题:

(1)图(b)中测力计示数F的大小为____________。
(2)金属小球质量的表达式为____________(用题中所给的字母表示)。
(3)若用手慢慢摇动手柄使金属球在如图(c)所示的平面内稳定转动时,则测力计所测作用力F的大小将会__________(填“稳定不变”或“周期性变化”)。
23.(9分)
国标规定自来水在15℃时电阻率应大于13
·m。为测量15℃时自来水的电阻率和电源的电动势与内阻,某物理兴趣小组设计了如图所示的实验电路。其中内径均匀的圆柱形玻璃管侧壁连接一细管,细管上加有阀门K以控制管内自来水的水量,玻璃管两端接有电阻可忽略不计的导电活塞,左活塞固定,右活塞可自由移动。图中R0为定值电阻,R为电阻箱,A为理想电流表,S为单刀双掷开关,E为待测电源,此外实验中还备有游标卡尺和刻度尺。兴趣小组的实验步骤如下:
①用游标卡尺测量玻璃管的内径d;
②向玻璃管内注满自来水,用刻度尺测量水柱长度,把S拨到1位置,记录电流表示数I;③把S拨到2位置调节电阻箱阻值,使电流表示数也为I,记录电阻箱的阻值R;
④改变水柱长度,重复实验步骤②③,读出电阻箱示数R;
⑤把S拨到2位置不变,改变电阻箱的阻值R读取对应的电流值I;
⑥断开S,整理好器材。
(1)以电阻箱示数R为纵轴,用对应水柱长度为横轴作出一条直线。若直线的斜率为k,则玻璃管内水柱电阻率的表达式为
=______。
(2)把S拨到2位置不变时,为测量电源的电动势和内阻,采用图象处理实验数据,宜绘制出_______关系图象,处理较为简单。
(3)实际的电流表有一定的内阻,在本实验中它对测量结果的影响分别是使水柱电阻率的测量值________;使电源电动势的测量值_______;使电源内阻的测量值_______。(填“偏大”“偏小”或“无变化”)
24.(12分)
在一条平直公路上一辆违章汽车以最大速度v0=20m/s匀速通过交通检查站,等交通警察启动警车前去追赶时违章汽车已驶出了s=90m。已知交通警察配备警车的额定功率P0=60kW,最大行驶速度vm=30m/s,车和警察共重2吨。若警车先匀加速启动t1=8s时达额定功率,接着以额定功率行驶t1=14s才达最大速度。已知警车运动过程中所受的阻力恒定,求警车匀加速过程所能达到的最大速度和追上违章汽车需要的总时间。
25.(20分)
如图所示,在边长L=
的等边三角形abc的外接圆区域内有平行于纸面的匀强电场,将质量m=2×10-13kg,电量q=+1×10-10C的点电荷从a点以相等的速率沿不同方向射出时可到达圆上的不同位置,其中电荷到达b点时动能最大,其动能增量为△Ek=8.1×10-10J。若将该点以某一初速度v0沿ac方向从a点射出时恰通过b点,现撤去电场并在该圆形区域内加上垂直于纸面的匀强磁场时,仍让该点电荷从a点沿ac方向以v0射出时也能通过b点。求:
(1)匀强电场的场强E;
(2)匀强磁场的磁感应强度B;
(3)点电荷在匀强磁场和匀强电场中运动的时间之比。
26.(14分)
NCl3可用于漂白,也可用于柠檬等水果的熏蒸处理。已知:NCl3熔点为-40℃,沸点为70℃,95℃以上易爆炸,有刺激性气味,可与水反应。实验室中可用和氨气反应制取NCl3,反应方程式为4NH3+3C12===NCl3+3NH4Cl。某校化学兴趣小组同学设计了如图所示的实验装置(NH4Cl的分解温度为300℃左右)。
回答下列问题:
(1)写出装置F中的烧瓶内发生反应的离子方程式:___________________________。
(2)E中的试剂为__________________。
(3)导管G末端应连接的装置为下图中的___________(填选项字母)。

(4)NCl3遇水可发生水解反应生成两种物质,其中一种是可使湿润的红色石蕊试纸变蓝的气体,写出NCl3水解的化学方程式:_______________。
(5)已知C中生成的NH4Cl溶解在NCl3中,欲将二者分离可采取的操作方法为________________________________________。
(6)NH4Al(SO4)2也可用于自来水的净化。
①NH4Al(SO4)2溶液中离子浓度由大到小的顺序为_________________。
②向NH4Al(SO4)2溶液中滴加氨水至溶液呈中性,在此过程中水的电离程度_________(填“增大”“减小”或“不变”)。
③常温下,将amolNH4Al(SO4)2:加入到bLcmol/L的氨水中,所得溶液呈中性,此时溶液中c(Al3+)≈0mol/L,计算该温度下NH3·H2O的电离常数___________(用含字母的代数式表示,忽略溶液体积变化)。
27.(14分)
工业上用菱锰矿(MnCO3)[含FeCO3、SiO2、Cu2(OH)2CO3等杂质]为原料制取KMnO4。其流程示意图如下:

②金属阳离子生成氢氧化物沉淀的pH如下表:

回答下列问题:
(1)写出滤渣1的一种工业用途:_________________________________。实验室模拟该流程过程中,洗涤滤渣1的具体操作方法为_______________________________________。
(2)试剂a最好选用________(填选项字母)。
A.氯水B.高锰酸钾
C.次氯酸钠D.浓盐酸
(3)试剂b可选用______(填选项字母)。
A.氨水B.稀硫酸C.碳酸锰D.Mn(OH)2E.NaOH
(4)试剂c为MnS,写出滤液2中加入MnS后发生反应的离子方程式:_________________________________________________
(5)用惰性电极电解硫酸锰和硫酸钾混合溶液的方法可以制取高锰酸钾,写出电解时的阳极反应式:____________________________________。工业上用硫酸溶解碳酸锰,而不用盐酸溶解,其原因是_____________________________。
(6)KMnO4是一种常用的滴定试剂,某同学用酸性高锰酸钾溶液测定滤液1中Fe2+的含量。滴定过程中,每次均量取25.00mL的滤液1置于锥形瓶中,滴定三次平均消耗掉0.1000mol/L的KMnO4溶液20.00mL,则滤液1中Fe2+的浓度为______g/L(保留三位有效数字)。
28.(15分)
甲醇是一种优质燃料,在工业上常用CO和H2合成甲醇,反应方程式为CO(g)+2H2(g)
CH3OH(g)。

回答下列问题:
(1)计算CO(g)+2H2(g)
CH3OH(g)的反应热△H4=____________。
(2)若在绝热、恒容的密闭容器中充入1molCO、2molH2,发生CO(g)+2H2(g)
CH3OH(g)反应,下列示意图正确且能说明反应在进行到t1时刻为平衡状态的是________(填选项字母)。
(3)T1℃时,在一个体积为5L的恒容容器中充入1molCO、2molH2,经过5min达到平衡,CO的转化率为0.8,则5min内用H2表示的反应速率为v(H2)=_______。T1℃时,在另一体积不变的密闭容器中也充入1molCO、2molH2,达到平衡时CO的转化率为0.7,则该容器的体积____5L(填“>”“<”或“=”);T1℃时,CO(g)+2H2(g)
CH3OH(g)的平衡常数K=______________。
(4)在T1℃时,在体积为5L的恒容容器中充入一定量的H2和CO,反应达到平衡时CH3OH的体积分数与n(H2)/n(CO)的关系如图所示。温度不变,当
时,达到平衡状态,CH3OH的体积分数可能是图象中的______点。

(5)为了提高燃料的利用率可以将甲醇设计为燃料电池,写出KOH作电解质溶液时,甲醇燃料电池的负极反应式:___________________。该电池负极与水库的铁闸相连时,可以保护铁闸不被腐蚀,这种电化学保护方法叫做___________。
(6)含有甲醇的废水随意排放会造成水污染,可用ClO2将其氧化为CO2,然后再加碱中和即可。写出处理甲醇酸性废水过程中,ClO2与甲醇反应的离子方程式:_______________________________________________。
29.(9分)
某小组研究镉对青蒿光合作用的影响,设计了以下实验。
请完善实验设计并回答相关问题:
(1)实验步骤:
①将_______________的青蒿随机均分为4组。
②分别用浓度为0
mol/L、40
mol/L、80
mo1/L、120
mol/L的镉溶液喷洒青蒿叶片,在相同且适宜的条件下进行培养,一段时间后测得实验结果如下表:

(2)结果分析:
①本实验的自变量是_____________________________。
②随着镉浓度的增加,青蒿的呼吸作用速率变化趋势是___________________________。
在其他条件都适宜时,用120
mol/L镉溶液处理的青蒿在每天光照12小时情况下,_______(填“能”或“不能”)正常生长,原因是________________________。
③为了进一步确定青蒿素产生所需的镉的最适浓度,实验思路是____________________。
30.(11分)
骨骼肌牵张反射是人体最重要的反射之一,如图所示牵张反射的感受器位于梭内肌纤维,效应器位于梭外肌纤维。
据图回答下列问题:

(1)请写出与
-传出纤维相关的反射弧_____________________________,如果将电极连在肌梭感觉传入纤维处,刺激
-传出纤维,则电流表的偏转次数是____________,原因是_________________。
(2)乙酰胆碱(ACh)是一种兴奋性神经递质,当乙酰胆碱作用于突触后膜时,引起突触后膜膜内电位变化是____________。重症肌无力是一种常见的疾病,关于它的产生原因有两种假说,第一种假说认为患者突触处不能合成乙酰胆碱;第二种假说认为患者自身产生了一种针对乙酰胆碱的抗体,从而使乙酰胆碱不能发挥作用。研究者为此进行了如下体外实验:

注:“+”表示出现抗原—抗体反应,“-”表示不出现抗原—抗体反应从实验中可以判断出______种假说是正确的,原因是_______________________。
(3)如
-传出纤维受到一定程度破坏,则牵张反射的进行不受大脑的控制,说明牵张反射中枢位于_____________________________。
31.(10分)

下图表示某草原生态系统的碳循环过程,A、B、C、D、E、F表示碳循环中的不同成分,箭头表示碳的流动方向。
回答相关问题:
(1)该生态系统的基石是__________________(填字母),图中F表示____________。碳元素在生态系统中主要以_______________________的形式进行传递的。
(2)通常用标志重捕法调查D的种群密度,则D种群具有的相应特点是________________。调查发现D种群的各年龄期比例适中,可知该种群在一段时间内的出生率_______________(填“大于”“小于”或“等于”)死亡率。
(3)草原生态系统具有抵抗外界干扰、保持自身生态平衡的能力,该能力称为_________,生态系统的____________越复杂,这种能力越强。
32.(9分)
某植物的花有白色、蓝色和紫色三种类型,已知花色形成的过程如下:

回答相关问题:
(1)该植物的花色形成过程说明基因控制性状的方式是___________________。

(2)基因A、a与B、b存在如下三种情况:
现在有多个基因型为AaBb的植株,让其自交(不考虑交叉互换),如果后代的表现型及比例是
____________________,则符合第一种情况;
____________________,则符合第二种情况;
____________________,则符合第三种情况。
(3)如果控制花色的基因符合图中所示的第三种情况(不考虑交叉互换),该植物的高茎(显性)与矮茎受另一对等位基因E、e控制,并且位于另一对染色体上,则基因型为AaBbEe的植株产生的配子有_____种,基因型AaBbEe植株进行自交,后代高茎紫花所占的比例为__________。
(二)选考题:共45分。请考生从给出的3道物理题、3道化学题、2道生物题中每科任选一题做答。并用2B铅笔将答题卡上所选题目对应的题号右侧方框涂黑,按所涂题号进行评分;多涂、多答,按所涂的首题进行评分;不涂,按本学科选考题的首题进行评分。
33.[物理——选修3—3](15分)
(1)(5分)下列说法中正确的是______。(填正确答案标号。选对1个得2分,选对2个得4分,选对3个得5分。每选错1个扣3分,最低得分为0分)
A.盛有气体的容器做加速运动时,容器中气体的内能必定会随之增大
B.一切涉及热现象的宏观过程都具有方向性,由热力学第二定律可以判断物理过程能否自发进行
C.气体压强的大小跟气体分子的平均动能、分子的密集程度这两个因素有关
D.一定质量的100℃的水吸收热量后变成100℃的水蒸气,其吸收的热量大于增加的内能
E.当分子间的引力与斥力相等时分子势能最大
(2)(10分)某同学实验时将一根长L=1m粗细均匀的玻璃管竖直固定在升降机内,玻璃管上端开口下端封闭。在管内用h=46cm的水银柱封闭着L1=50cm的空气柱,若忽略升降机内环境温度的变化,升降机内大气压强恒为p0=74cmHg,取g=10m/s2,现在升降机先以a=3.5m/s2的加速度匀加速下降一段时间后,再以相同大小的加速度匀减速下降,求两种状态下稳定时被封闭空气柱的长度分别为多少?
34.[物理——选修3—4](15分)
(1)(5分)如图所示,MN是一条通过透明半球体球心的直线,现有一束由两种单色细光束组成的复色光AB平行MN射向球体,经透明半球体的作用后分裂为两束,其中a光束与MN的夹角为30°,b光束与MN的夹角为15°,已知AB与MN间的距离为半径的一半。则该透明半球体对a光的折射率为______。若让这两束单色光分别通过同一双缝干涉装置后,条纹间距较宽的是______(填“a”或“b”)光。


(2)(10分)如图所示,波源S位于坐标原点O处,t=0时刻沿y轴向下开始振动,其振动频率为50Hz,振幅为2cm。S振动能形成一列沿x轴传播的简谐横波,波的传播速度v=40m/s,在x轴上有P、Q两点,其坐标分别为xP=4.2m,xQ=-1.4rn。求
P、Q两点起振的时间差并画出Q点的振动图象。
35.[物理——选修3—5](15分)

(1)(5分)已知;
经过一系列
衰变和
衰变后变成
,则该系列衰变中共发生了____次
衰变,生成的两种射线中,穿透能力较强的射线是_____(填“
”或“
”);如果让
参加化学反应后形成化合物,则其半衰期______(填“不会”或“会”)有所延长。
(2)(10分)如图所示,质量为3kg的木板C停放在光滑水平地面上,其上表面光滑,左边立柱上固定有一根处于自由状态的轻弹簧,弹簧右端与质量为2kg的物块B连接。在B的右上方O点处用长为1.6m的轻绳系一个质量为2kg的小球A。现拉紧轻绳使之与竖直方向成60°角,然后将小球A由静止释放,到达最低点时炸裂成质量相等的两个物块1和2,其中物块1水平向左运动与B粘合在一起,并向左压缩弹簧,物块2仍系在绳上但速度水平向右,且刚好能回到释放点。若A、B均可看成质点,取g=10m/s2。求小球A炸裂时增加的机械能△E和弹簧被压缩过程中的最大弹性势能Ep。

36.[化学——选修2:化学与技术](15分)
硫酸是工业生产中重要的产品之一,在很多领域都有重要用途。回答下列问题:
(1)在硫酸工业生产中,我国采用黄铁矿为原料生产SO2,反应的化学方程式为_________________;该反应在___________________(填设备名称)中进行。
(2)为了有利于SO2转化为SO3,且能充分利用热能,可采用在有多层催化剂且有热交换器的______(填设备名称)中进行反应。在如图所示的装置中,C处流出的气体有_______(填设备名称)中用______吸收,得到浓硫酸或发烟硫酸。
(3)实验测得:SO2生成SO3的转化率与温度、压强的关系如下表所示。已知400~600℃催化剂的催化效果较好,结合生产实际,选择最合适的生产条件是___________。

(4)欲提高SO2的反应速率和转化率,下列措施可行的是__________(填选项字母)。
A.向装置中通入氮气且保持体积不变
B.向装置中通入稍过量氧气且保持体积不变
C.添加更多的催化剂
D.降低温度,及时转移SO3
(5)吸收塔排出的尾气中,若SO2的含量超过500
L·L-1,就要加以处理,处理方法之一是用氨水洗涤烟气脱硫,用足量氨水吸收尾气中SO2的化学方程式为__________________________________。
37.[化学——选修3:物质结构与性质](15分)
X、Y、Z、M、W、R是元素周期表中1~36号元素,且原子序数依次增大,X、Y、Z是位于同一周期的相邻元素,Y元素基态原子的2p轨道处于半充满状态;M为元素周期表1~36号元素中电负性最小的元素,W元素基态原子的价电子构型为3d74s2;R位于周期表第11列。回答下列问题(若需表示具体元素必须用相应的元素符号):
(1)X、Y、Z三种元素的第一电离能由大到小的顺序是_____________(用元素符号表示),Y的最简单气态氢化物在水中的溶解度远大于X的最简单气态氢化物,主要原因是_______________________________________。
(2)R元素基态原子的电子排布式为______________。Z、M形成化合物M2Z2的电子式为_____________________。
(3)X、Z、W三种元素可以形成橘红色易升华的固体配合物W2(XZ)8,该配合物中提供空轨道的是_________,提供孤对电子的是__________________(填化学式)。
(4)已知某化合物部分结构如图(a)所示,该化合物由X、Y两元素组成,硬度超过金刚石。该化合物的化学式为___________,其晶体类型为__________,晶体中X、Y两种元素原子的杂化方式均为______________。

(5)在图(b)中标出R晶体中R原子的位置,该晶体中R原子直径为apm,R的相对原子质量为M,阿伏加德罗常数为NA,该晶胞密度表达式为___________g·cm-3(用a,M,NA表示)。
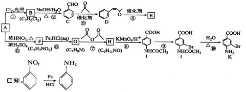
38.[化学——选修5:有机化学基础](15分)
芳香烃A是基本有机化工原料,由A制备高分子E和医药中间体K的合成路线(部分反应条件略去)如图所示:
回答下列问题:
(1)A的名称是_____________。I含有官能团的名称是__________________。
(2)⑤的反应类型是________________,⑧的反应类型是________________。
(3)写出反应②的化学方程式:______________________________________。
(4)D分子中最多有_____________个原子共平面。E的结构简式为__________________。
(5)写出一种同时符合下列条件的F的同分异构体的结构简式:__________________。
①苯环上只有两种不同化学环境的氢原子;
②既能与银氨溶液反应又能与NaOH溶液反应。

39.[生物——选修1:生物技术实践](15分)
硅酸盐细菌可以将土壤中不溶性的含钾矿物(如长石、云母)以及磷灰石等分解转化,释放出水溶性的钾、磷,将土壤中的无效磷钾转化为速效养分。现代工业可将硅酸盐细菌制成细菌肥料,达到增产目的。硅酸盐细菌在无氮培养基、钾细菌培养基以及硅酸盐细菌培养基上均能生长,下表1是硅酸盐细菌培养基的一种配方。
回答下列问题:
(1)根据硅酸盐细菌培养基的配方可知,从功能上看,该培养基属于______培养基,原因是_______________________________。
(2)培养硅酸盐细菌时必须进行无菌操作。培养基的灭菌一般采用____________法。配制培养基时,灭菌与调节pH的先后顺序是________________________。
(3)表2的名称是________________,在进行接种时,所有的操作都应在___________附近进行。在采用平板划线法分离硅酸盐细菌时,第二次及之后的划线,总是在上一次划线末端开始,这样做的目的是___________________。
(4)在进行表2所示实验的同时也设置了空白对照,空白对照的培养基中____________,说明培养基灭菌合格;根据表2数据可以得出,用___________培养基筛选硅酸盐细菌的效果最好。
40.[生物——选修3:现代生物科技专题](15分)
病毒介导基因转移是现在基因治疗研究的最新方向,美、法等国成功采用腺病毒载体进行心、脑、肺、肝内胆管和肌肉组织的体内基因转移。其具体思路如下:

回答下列问题:
(1)如果要在短时间内获得较多的目的基因,通常采用___________技术,在操作步骤中包括两次升温和一次降温,其中降温的目的是_____________________。
(2)构建基因表达载体时需要用到的工具酶有_________。
(3)作为接受转移基因的体细胞应具有的特点是___________(写出一点即可)。在进行细胞培养时,当细胞贴满瓶壁时需用__________酶处理,使之分散成单个细胞,培养液中还需通人无菌气体,其中通入CO2的目的主要是___________________。
(4)如果检测发现目的基因被成功导入了受体细胞,但却没有检测到目的基因相对应的蛋白质,应考虑位于目的基因首端的________和末端的__________是否设计好,并从这方面进一步改善。











