2020贵州高考理综试题
理科综合能力测试
注意事项:
1.答卷前,考生务必将自己的姓名、准考证号填写在答题卡上。
2.回答选择题时,选出每小题答案后,用铅笔把答题卡上对应题目的答案标号涂黑,如需改动,用橡皮擦干净后,再选涂其它答案标号。回答非选择题时,将答案写在答题卡上,写在本试卷上无效。
3.考试结束后,将本试卷和答题卡一并交回。
可能用到的相对原子质量:H 1 C 12 N 14 O 16 Mg 24 S 32 Fe 56 Cu 64
一、选择题:本题共13个小题,每小题6分。共78分,在每小题给出的四个选项中,只有一项是符合题目要求的。
1.关于真核生物的遗传信息及其传递的叙述,错误的是
A.遗传信息可以从DNA流向RNA,也可以从RNA流向蛋白质
B.细胞中以DNA的一条单链为模板转录出的RNA均可编码多肽
C.细胞中DNA分子的碱基总数与所有基因的碱基数之和不相等
D.染色体DNA分子中的一条单链可以转录出不同的 RNA分子
2.取燕麦胚芽鞘切段,随机分成三组,第1组置于一定浓度的蔗糖(Suc)溶液中(蔗糖能进入胚芽鞘细胞),第2组置于适宜浓度的生长素(IAA)溶液中,第3组置于IAA+ Suc溶液中,一定时间内测定胚芽鞘长度的变化,结果如图所示。用KCI代替蔗糖进行上述实验可以得到相同的结果。下列说法不合理的是

A.KCI可进入胚芽鞘细胞中调节细胞的渗透压
B.胚芽鞘伸长生长过程中,件随细胞对水分的吸收
C.本实验中Suc是作为能源物质来提高IAA作用效果的
D.IAA促进胚芽鞘伸长的效果可因加入Suc或KC1而提高
3.细胞内有些tRNA分子的反密码子中含有稀有碱基次黄嘌呤(I),含有I的反密码子在与mRNA中的密码子互补配对时,存在如图所示的配对方式(Gly表示甘氨酸)。下列说法错误的是

A.一种反密码子可以识别不同的密码子
B.密码子与反密码子的碱基之间通过氢键结合
C.tRNA 分子由两条链组成,mRNA分子由单链组成
D.mRNA中的碱基改变不一定造成所编码氨基酸的改变
4.下列有关人体免疫调节的叙述,合理的是
A.若病原体不具有细胞结构,就不会使人体产生抗体
B.病原体裂解后再注射到人体,就不会使人体产生抗体
C.病原体表面若不存在蛋白质分子,就不会使人体产生抗体
D.病原体经吞噬细胞处理后暴露出的抗原可使人体产生抗体
5.新冠病毒是一种RNA病毒。新冠肺炎疫情给人们的生活带来了巨大影响。下列与新冠肺炎疫情防控相关的叙述,错误的是
A.新冠病毒含有核酸和蛋白质,通过核酸检测可排查新冠病毒感染者
B.教室经常开窗通风可以促进空气流动,降低室内病原微生物的密度
C.通常新冠肺炎患者的症状之一是发烧, 因此可以通过体温测量初步排查
D.每天适量饮酒可以预防新冠肺炎,因为酒精可以使细胞内的病毒蛋白变性
6.生态系统的物质循环包括碳循环和氮循环等过程。下列有关碳循环的叙述,错误的是
A.消费者没有参与碳循环的过程
B.生产者的光合作用是碳循环的重要环节
C.土壤中微生物的呼吸作用是碳循环的重要环节
D.碳在无机环境与生物群落之间主要以CO2形式循环
7.宋代《千里江山图》描绘了山清水秀的美丽景色,历经千年色彩依然,其中绿色来自孔雀石颜料(主要成分为Cu(OH)2·CuCO3),青色来自蓝铜矿颜料(主要成分为Cu(OH)2·2CuCO3)。下列说法错误的是
A.保存《千里江山图》需控制温度和湿度
B.孔雀石、蓝铜矿颜料不易被空气氧化
C.孔雀石、蓝铜矿颜料耐酸耐碱
D.Cu(OH)2·CuCO3中铜的质量分数高于Cu(OH)2·2CuCO3
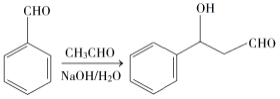
8.金丝桃苷是从中药材中提取的一种具有抗病毒作用的黄酮类化合物,结构式如下:

下列关于金丝桃苷的叙述,错误的是
A.可与氢气发生加成反应 B.分子含21个碳原子
C.能与乙酸发生酯化反应 D.不能与金属钠反应
9.NA是阿伏加德罗常数的值。下列说法正确的是
A.22.4 L(标准状况)氮气中含有7NA个中子
B.1 mol重水比1 mol水多NA个质子
C.12 g石墨烯和12 g金刚石均含有NA个碳原子
D.1 L 1 mol·L−1 NaCl溶液含有28NA个电子
10.喷泉实验装置如图所示。应用下列各组气体—溶液,能出现喷泉现象的是



A.负载通过0.04 mol电子时,有0.224 L(标准状况)O2参与反应
B.正极区溶液的pH降低、负极区溶液的pH升高
C.电池总反应为
D.电流由复合碳电极经负载、VB2电极、KOH溶液回到复合碳电极
13.W、X、Y、Z为原子序数依次增大的短周期元素,四种元素的核外电子总数满足X+Y=W+Z;化合物XW3与WZ相遇会产生白烟。下列叙述正确的是
A.非金属性:W> X>Y> Z B.原子半径:Z>Y>X>W
C.元素X的含氧酸均为强酸 D.Y的氧化物水化物为强碱
二、选择题:本题共8小题,每小题6分,共48分。在每小题给出的四个选项中,第14~18题只有一项符合题目要求,第19~21题有多项符合题目要求。全部选对的得6分,选对但不全的得3分,有选错的得0分。
14.如图,水平放置的圆柱形光滑玻璃棒左边绕有一线圈,右边套有一金属圆环。圆环初始时静止。将图中开关S由断开状态拨至连接状态,电路接通的瞬间,可观察到

A.拨至M端或N端,圆环都向左运动
B.拨至M端或N端,圆环都向右运动
C.拨至M端时圆环向左运动,拨至N端时向右运动
D.拨至M端时圆环向右运动,拨至N端时向左运动
15.甲、乙两个物块在光滑水平桌面上沿同一直线运动,甲追上乙,并与乙发生碰撞,碰撞前后甲、乙的速度随时间的变化如图中实线所示。已知甲的质量为1 kg,则碰撞过程两物块损失的机械能为

A.3 J B.4 J C.5 J D.6 J
16.“嫦娥四号”探测器于2019年1月在月球背面成功着陆,着陆前曾绕月球飞行,某段时间可认为绕月做匀速圆周运动,圆周半径为月球半径的K倍。已知地球半径R是月球半径的P倍,地球质量是月球质量的Q倍,地球表面重力加速度大小为g.则“嫦娥四号”绕月球做圆周运动的速率为

17.如图,悬挂甲物体的细线拴牢在一不可伸长的轻质细绳上O点处;绳的一端固定在墙上,另一端通过光滑定滑轮与物体乙相连。甲、乙两物体质量相等。系统平衡时,O点两侧绳与竖直方向的夹角分别为α和β。若α=70°,则β等于

A.45° B.55° C.60° D.70°
18.真空中有一匀强磁场,磁场边界为两个半径分别为a和3a的同轴圆柱面,磁场的方向与圆柱轴线平行,其横截面如图所示。一速率为v的电子从圆心沿半径方向进入磁场。已知电子质量为m,电荷量为e,忽略重力。为使该电子的运动被限制在图中实线圆围成的区域内,磁场的磁感应强度最小为


变化的正弦曲线如图(b)所示。下列说法正确的是

A.所用交流电的频率为50Hz B.电压表的示数为100V
C.电流表的示数为1.0A D.变压器传输的电功率为15.0W
21.如图,∠M是锐角三角形PMN最大的内角,电荷量为q(q>0)的点电荷固定在P点。下列说法正确的是

A.沿MN边,从M点到N点,电场强度的大小逐渐增大
B.沿MN边,从M点到N点,电势先增大后减小
C.正电荷在M点的电势能比其在N点的电势能大
D.将正电荷从M点移动到N点,电场力所做的总功为负
三、非选择题:共174分。第22~32题为必考题,每个试题考生都必须作答。第33~38题为选考题,考生根据要求作答。
(一)必考题:共129分。
22.(6分)
某同学利用图(a)所示装置验证动能定理。调整木板的倾角平衡摩擦阻力后,挂上钩码,钩码下落,带动小车运动并打出纸带。某次实验得到的纸带及相关数据如图(b)所示。

已知打出图(b)中相邻两点的时间间隔为0.02 s,从图(b)给出的数据中可以得到,打出B点时小车的速度大小vB=________m/s,打出P点时小车的速度大小vP=________m/s。(结果均保留2位小数)
若要验证动能定理,除了需测量钩码的质量和小车的质量外,还需要从图(b)给出的数据中求得的物理量为________________________。
23.(9分)
已知一热敏电阻当温度从10 ℃升至60 ℃时阻值从几千欧姆降至几百欧姆,某同学利用伏安法测量其阻值随温度的变化关系。所用器材:电源E、开关S、滑动变阻器R(最大阻值为20 Ω)、电压表(可视为理想电表)和毫安表(内阻约为100 Ω)。
(1)在答题卡上所给的器材符号之间画出连线,组成测量电路图。

(2)实验时,将热敏电阻置于温度控制室中,记录不同温度下电压表和亳安表的示数,计算出相应的热敏电阻阻值。若某次测量中电压表和毫安表的示数分别为5.5 V和3.0 mA,则此时热敏电阻的阻值为________kΩ(保留2位有效数字)。实验中得到的该热敏电阻阻值R随温度t变化的曲线如图(a)所示。


(3)将热敏电阻从温控室取出置于室温下,测得达到热平衡后热敏电阻的阻值为2.2kΩ。由图(a)求得,此时室温为_______℃(保留3位有效数字)。
(4)利用实验中的热敏电阻可以制作温控报警器,其电路的一部分如图(b)所示。图中,E为直流电源(电动势为10 V,内阻可忽略);当图中的输出电压达到或超过6.0 V时,便触发报警器(图中未画出)报警。若要求开始报警时环境温度为50 ℃,则图中_____(填
“R1”或“R2”)应使用热敏电阻,另一固定电阻的阻值应为_____kΩ(保留2位有效数字)。
24.(12分)
如图,一边长为l0的正方形金属框abcd固定在水平面内,空间存在方向垂直于水平面、磁感应强度大小为B的匀强磁场。一长度大于√2l0的均匀导体棒以速率v自左向右在金属框上匀速滑过,滑动过程中导体棒始终与ac垂直且中点位于ac上,导体棒与金属框接触良好。已知导体棒单位长度的电阻为r,金属框电阻可忽略。将导体棒与a点之间的距离记为x,求导体棒所受安培力的大小随x(0≤x≤√2l0)变化的关系式。

25.(20分)
如图,相距L=11.5m的两平台位于同一水平面内,二者之间用传送带相接。传送带向右匀速运动,其速度的大小v可以由驱动系统根据需要设定。质量m=10 kg的载物箱(可视为质点),以初速度v0=5.0 m/s自左侧平台滑上传送带。载物箱与传送带间的动摩擦因数μ= 0.10,重力加速度取g = 10 m/s2。

(1)若v=4.0 m/s,求载物箱通过传送带所需的时间;
(2)求载物箱到达右侧平台时所能达到的最大速度和最小速度;
(3)若v=6.0m/s,载物箱滑上传送带△t=13/12s后,传送带速度突然变为零。求载物箱从左侧平台向右侧平台运动的过程中,传送带对它的冲量。
26.(14分)
氯可形成多种含氧酸盐,广泛应用于杀菌、消毒及化工领域。实验室中利用下图装置(部分装置省略)制备KClO3和NaClO,探究其氧化还原性质。

回答下列问题:
(1)盛放MnO2粉末的仪器名称是 ,a中的试剂为 。
(2)b中采用的加热方式是 ,c中化学反应的离子方程式是 ,采用冰水浴冷却的目的是 。
(3)d的作用是 ,可选用试剂 (填标号)。
A.Na2S B.NaCl C.Ca(OH)2 D.H2SO4
(4)反应结束后,取出b中试管,经冷却结晶, , ,干燥,得到KClO3晶体。
(5)取少量KClO3和NaClO溶液分别置于1号和2号试管中,滴加中性KI溶液。1号试管溶液颜色不变。2号试管溶液变为棕色,加入CCl4振荡,静置后CCl4层显____色。可知该条件下KClO3的氧化能力____NaClO(填“大于”或“小于")。
27.(15分)
某油脂厂废弃的油脂加氢镍催化剂主要含金属Ni、Al、Fe及其氧化物,还有少量其他不溶性物质。采用如下工艺流程回收其中的镍制备硫酸镍晶体(NiSO4·7H2O):

溶液中金属离子开始沉淀和完全沉淀的pH如下表所示:

回答下列问题:
(1)“碱浸”中NaOH的两个作用分别是______________。为回收金属,用稀硫酸将“滤液①”调为中性,生成沉淀。写出该反应的离子方程式______________。
(2)“滤液②”中含有的金属离子是______________。
(3)“转化”中可替代H2O2的物质是______________。若工艺流程改为先“调pH”后“转化”,即
,“滤液③”中可能含有的杂质离子为______________。
(4)利用上述表格数据,计算Ni(OH)2的Ksp=______________(列出计算式)。如果“转化”后的溶液中Ni2+浓度为1.0 mol·L−1,则“调pH”应控制的pH范围是______________。
(5)硫酸镍在强碱溶液中用NaClO氧化,可沉淀出能用作镍镉电池正极材料的NiOOH。写出该反应的离子方程式______________。
(6)将分离出硫酸镍晶体后的母液收集、循环使用,其意义是______________。
28.(14分)
二氧化碳催化加氢合成乙烯是综合利用CO2的热点研究领域。回答下列问题:
(1)CO2催化加氢生成乙烯和水的反应中,产物的物质的量之比n(C2H4)∶n(H2O)=__________。当反应达到平衡时,若增大压强,则n(C2H4)___________(填“变大”“变小”或“不变”)。
(2)理论计算表明,原料初始组成n(CO2)∶n(H2)=1∶3,在体系压强为0.1MPa,反应达到平衡时,四种组分的物质的量分数x随温度T的变化如图所示。

图中,表示C2H4、CO2变化的曲线分别是______、______。CO2催化加氢合成C2H4反应的ΔH______0(填“大于”或“小于”)。
(3)根据图中点A(440K,0.39),计算该温度时反应的平衡常数Kp=_________(MPa)−3(列出计算式。以分压表示,分压=总压×物质的量分数)。
(4)二氧化碳催化加氢合成乙烯反应往往伴随副反应,生成C3H6、C3H8、C4H8等低碳烃。一定温度和压强条件下,为了提高反应速率和乙烯选择性,应当___________________。
29.(10分)
参照表中内容,围绕真核细胞中ATP的合成来完成下表。

30.(10分)
给奶牛挤奶时其乳头上的感受器会受到制激,产生的兴奋沿着传入神经传到脊髓能反射性地引起乳腺排乳;同时该兴奋还能上传到下丘脑促使其合成催产素,进而促进乳腺排乳。回答下列问题:
(1)在完成一个反射的过程中,一个神经元和另个神经元之间的信息传递是通过_______这一结构来完成的。
(2)上述排乳调节过程中,存在神经调节和体液调节。通常在哺乳动物体内,这两种调节方式之间的关系是_______。
(3)牛奶的主要成分有乳糖和蛋白质等,组成乳糖的2种单糖是_______。牛奶中含有人体所需的必需氨基酸,必需氨基酸是指_______。
31.(9分)
假设某种蓝藻(A)是某湖泊中唯一的生产者,其密度极大,使湖水能见度降低。某种动物(B)是该湖泊中唯一的消费者。 回答下列问题:
(1)该湖泊水体中A种群密度极大的可能原因是_______ (答出2 点即可)。
(2)画出该湖泊生态系统能量流动的示意图。
(3)假设该湖泊中引入一种仅以A为食的动物(C)后,C种群能够迅速壮大,则C和B的种间关系是_______。
32.(10分)
普通小麦是目前世界各地栽培的重要粮食作物。普通小麦的形成包括不同物种杂交和染色体加倍过程,如图所示(其中A、B、D分别代表不同物种的一个染色体组,每个染色体组均含7条染色体)。在此基础上,人们又通过杂交育种培育出许多优良品种。回答下列问题:

(1)在普通小麦的形成过程中,杂种一是高度不育的,原因是________。已知普通小麦是杂种二染色体加倍形成的多倍体,普通小麦体细胞中有__________条染色体。一般来说,与二倍体相比,多倍体的优点是__________(答出2点即可)。
(2)若要用人工方法使植物细胞染色体加倍,可采用的方法有_______(答出1点即可)。
(3)现有甲、乙两个普通小麦品种(纯合体),甲的表现型是抗病易倒伏,乙的表现型是易感病抗倒伏。若要以甲、乙为实验材料设计实验获得抗病抗倒伏且稳定遗传的新品种,请简要写出实验思路。
(二)选考题:共45分。请考生从2道物理题、2道化学题、2道生物题中每科任选一题作答。如果多做,则每科按所做的第一题计分。
33.[物理——选修3–3](15分)
(1)(5分)如图,一开口向上的导热气缸内。用活塞封闭了一定质量的理想气体,活塞与气缸壁间无摩擦。现用外力作用在活塞上。使其缓慢下降。环境温度保持不变,系统始终处于平衡状态。在活塞下降过程中___________。(填正确答案标号。选对1个得2分。选对2个得4分,选对3个得5分;每选错1个扣3分,最低得分为0分)

A.气体体积逐渐减小,内能增知
B.气体压强逐渐增大,内能不变
C.气体压强逐渐增大,放出热量
D.外界对气体做功,气体内能不变
E.外界对气体做功,气体吸收热量
(2)(10分)如图,两侧粗细均匀、横截面积相等、高度均为H=18cm的U型管,左管上端封闭,右管上端开口。右管中有高h0= 4cm的水银柱,水银柱上表面离管口的距离l= 12cm。管底水平段的体积可忽略。环境温度为T1= 283K。大气压强P0 = 76cmHg。

(i)现从右侧端口缓慢注入水银(与原水银柱之间无气隙),恰好使水银柱下端到达右管底部。此时水银柱的高度为多少?
(ii)再将左管中密封气体缓慢加热,使水银柱上表面恰与右管口平齐,此时密封气体的温度为多少?
34.[物理选修3–4](15分)
(1)(5分)如图,一列简谐横波平行于x轴传播,图中的实线和虚线分别为t=0和t=0.1 s时的波形图。已知平衡位置在x=6 m处的质点,在0到0.l s时间内运动方向不变。这列简谐波的周期为_________s,波速为_________m/s,传播方向沿x轴_________(填“正方向”或“负方向”)。

(2)(10分)如图,一折射率为√3的材料制作的三棱镜,其横截面为直角三角形ABC,∠A=90°,∠B=30°。一束平行光平行于BC边从AB边射入棱镜,不计光线在棱镜内的多次反射,求AC边与BC边上有光出射区域的长度的比值。

35.[化学——选修3:物质结构与性质](15分)
氨(NH3BH3)含氢量高、热稳定性好,是一种具有潜力的固体储氢材料。回答下列问题:
(1)H、B、N中,原子半径最大的是______。根据对角线规则,B的一些化学性质与元素______的相似。
(2)NH3BH3分子中,N—B化学键称为____键,其电子对由____提供。氨在催化剂作用下水解释放氢气:

(3)NH3BH3分子中,与N原子相连的H呈正电性(Hδ+),与B原子相连的H呈负电性(Hδ-),电负性大小顺序是__________。与NH3BH3原子总数相等的等电子体是_________(写分子式),其熔点比NH3BH3____________(填“高”或“低”),原因是在NH3BH3分子之间,存在____________________,也称“双氢键”。
(4)研究发现,氦在低温高压条件下为正交晶系结构,晶胞参数分别为a pm、b pm、c pm,α=β=γ=90°。氨的2×2×2超晶胞结构如图所示。

氨晶体的密度ρ=___________ g·cm−3(列出计算式,设NA为阿伏加德罗常数的值)。
36.[化学——选修5:有机化学基础](15分)
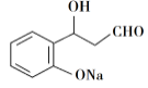
苯基环丁烯酮(
PCBO)是一种十分活泼的反应物,可利用它的开环反应合成一系列多官能团化合物。近期我国科学家报道用PCBO与醛或酮发生[4+2]环加成反应,合成了具有生物活性的多官能团化合物(E),部分合成路线如下:

已知如下信息:

回答下列问题:
(1)A的化学名称是___________。
(2)B的结构简式为___________。
(3)由C生成D所用的试别和反应条件为___________;该步反应中,若反应温度过高,C易发生脱羧反应,生成分子式为C8H8O2的副产物,该副产物的结构简式为________。
(4)写出化合物E中含氧官能团的名称__________;E中手性碳(注:连有四个不同的原子或基团的碳)的个数为___________。
(5)M为C的一种同分异构体。已知:1 mol M与饱和碳酸氢钠溶液充分反应能放出2 mol二氧化碳;M与酸性高锰酸钾溶液反应生成对苯二甲酸。M的结构简式为__________。

37.[生物——选修1:生物技术实践](15分)
水果可以用来加工制作果汁、果酒和果醋等。回答下列问题:
(1)制作果汁时,可以使用果胶酶、纤维素酶等提高水果的出汁率和澄清度。果胶酶是分解果胶的一类酶的总称,包括多聚半乳糖醛酸酶、__________________(答出2种即可)。纤维素酶可以分解植物______________(填“细胞膜"或“细胞壁”)中的纤维素。
(2)用果胶酶处理果泥时,为了提高出汁率,需要控制反应的温度,原因是__________________。
(3)现有甲乙丙三种不同来源的果胶酶,某同学拟在果泥用量、温度、pH等所有条件都相同的前提下比较这三种酶的活性。通常,酶活性的高低可用_____________来表示。
(4)获得的果汁(如苹果汁)可以用来制作果酒或者果醋,制作果酒需要__________________菌,这一过程中也需要O2,O2的作用是__________________。制作果醋需要醋酸菌,醋酸菌属于_____________(填“好氧”或“厌氧”)细菌。
38.[生物——选修3:现代生物科技专题](15分)
W是一种具有特定功能的人体蛋白质。某研究小组拟仿照制备乳腺生物反应器的研究思路,制备一种膀胱生物反应器来获得W,基本过程如图所示。

(1)步骤①中需要使用的工具酶有________________。步骤②和③所代表的操作分别是________________和________________。步骤④称为________________。
(2)与乳腺生物反应器相比,用膀胱生物反应器生产W的优势在于不受转基因动物的______________(答出2点即可)的限制。
(3)一般来说,在同一动物个体中,乳腺上皮细胞与膀胱上皮细胞的细胞核中染色体DNA所含的遗传信息________________(填“相同”或“不同”),原因是________________。
(4)从上述流程可知,制备生物反应器涉及胚胎工程,胚胎工程中所用到的主要技术有_____________(答出2点即可)。
2020年普通高等学校招生全国统一考试
理科综合 参考答案
1.B 2.C 3.C 4.D 5.D 6.A
7.C 8.D 9.C 10.B 11.A 12.B 13.D
14.B 15.A 16.D 17.B 18.C 19.AC 20.AD 21.BC
22.0.36 1.80 B、P之间的距离
23.(1)如图所示。 (2)1.8 (3)25.5 (4)R1 1.2


25.解:(1)传送带的速度为v=4.0 m/s时,载物箱在传送带上先做匀减速运动,设其加速度大小为a,由牛顿第二定律有
μmg=ma ①
设载物箱滑上传送带后匀减速运动的距离为s1,由运动学公式有
v2– v02= –2as1 ②
联立①②式,代入题给数据得
s1=4.5 m ③
因此,载物箱在到达右侧平台前,速度先减小到v,然后开始做匀速运动。设载物箱从滑上传送带到离
(3)传送带的速度为v=6.0 m/s时,由于v0<v<v2,载物箱先做匀加速运动,加速度大小仍为a。设载物箱做匀加速运动通过的距离为s2,所用时间为t2,由运动学公式有
v=v0+at2 ⑩
v2–v02=2as2 ⑪
联立①⑩⑪式并代入题给数据得
t2=1.0 s ⑫
s2=5.5 m ⑬
因此载物箱加速运动1.0 s、向右运动5.5 m时,达到与传送带相同的速度。此后载物箱与传送带共同运动(Δt–t2)的时间后,传送带突然停止。设载物箱匀速运动通过的距离为s3,有
s3=(Δt–t2)v ⑭
由①⑫⑬⑭式可知,
,即载物箱运动到右侧平台时速度大于零,设为v3。由运动学公式有
v32–v2= –2a(L–s2–s3) ⑮
设载物箱通过传送带的过程中,传送带对它的冲量为I,由动量定理有
I=m(v3–v0) ⑯
联立①⑫⑬⑭⑮⑯式并代入题给数据得
I=0 ⑰
26.(14分)(1)圆底烧瓶 饱和食盐水
(2)水浴加热 Cl2+2OH−=ClO−+Cl−+H2O 避免生成NaClO3
(3)吸收尾气(Cl2) AC
(4)过滤 少量(冷)水洗涤
(5)紫 小于
27.(15分)

(2)Ni2+、Fe2+、Fe3+
(3)O2或空气 Fe3+
(4)0.01×(107.2−14)2[或10−5×(108.7−14)2] 3.2~6.2
(5)2Ni2++ClO−+4OH−=2NiOOH↓+ Cl−+H2O
(6)提高镍回收率
28.(14分)
(1)1∶4 变大
(2)d c 小于

(4)选择合适催化剂等
29.(10分)
(1)细胞质基质
(2)无氧呼吸
(3)光能
(4)O2、NADPH
(5)H2O、CO2
30.(10分)
(1)突触
(2)有些内分泌腺直接或间接地受中枢神经系统的调节;内分泌腺所分泌的激素也可以影响神经系统的发育和功能
(3)葡萄糖和半乳糖 人体细胞自身不能合成,必须从食物中获取的氨基酸
31.(9分)
(1)水体富营养化,没有其他生产者的竞争
(2)答案如图

(3)竞争
32.(10分)
(1)无同源染色体,不能进行正常的减数分裂 42 营养物质含量高、茎秆粗壮
(2)秋水仙素处理
(3)甲、乙两个品种杂交,F1自交,选取F2中既抗病又抗倒伏、且自交后代不发生性状分离的植株
33.(1)BCD
(2)解:(i)设密封气体初始体职为V1,压强为p1,左、右管的截面积均为S,密封气体先经等温压缩过程体积变为V2,压强变为p2,由玻意耳定律有
p1V1=p2V2 ①
设注入水银后水银柱高度为h,水银的密度为ρ,按题设条件有
p1=p0 +ρgh0 ②
p2=p0 +ρgh ③
V1=(2H–l–h0)S,V2=HS ④
联立①②③④式并代入题给数据得
h=12.9 cm ⑤
(ii)密封气体再经等压膨胀过程体积变为V3,温度变为T2,由盖—吕萨克定律有
V2/T1=V2/T2 ⑥
按题设条件有
V3 =(2H– h)S ⑦
联立④⑤⑥⑦式并代入题给数据得
T2=363 K ⑧
34.(1)0.4 10 负方向
(2)如图(a)所示,设从D点入射的光线经折射后恰好射向C点,光在AB边上的入射角为θ1,折射角为θ2,由折射定律有

sinθ1=nsinθ2 ①
设从DB范围入射的光折射后在BC边上的入射角为θ′,由几何关系
θ′=30°+θ2 ②
由①②式并代入题给数据得
θ2=30° ③
nsinθ′>1 ④
所以,从DB范围入射的光折射后在BC边上发生全反射,反射光线垂直射到AC边,AC边上全部有光射出。
设从AD范围入射的光折射后在AC边上的入射角为θ′′,如图(b)所示。由几何关系

θ′′=90°–θ2 ⑤
由③⑤式和已如条件可知
nsinθ′′>l ⑥
即从AD范围入射的光折射后在AC边上发生全反射,反射光线垂直射到BC边上。设BC边上有光线射出的部分为CF,由几何关系得
CF=AC·sin30° ⑦
AC边与BC边有光出射区域的长度的比值为
AC/CF=2 ⑧
35.(15分)
(1)B Si(硅)
(2)配位 N sp3 sp2
(3)N>H>B CH3CH3 低 Hδ+与Hδ−的静电引力
(4)
36.(15分)
(1)2−羟基苯甲醛(水杨醛)
(2)
(3)乙醇、浓硫酸/加热 
(4)羟基、酯基 2
(5)
(6)随着R'体积增大,产率降低;原因是R'体积增大,位阻增大
37.(15分)
(1)果胶分解酶、果胶酯酶 细胞壁
(2)温度对果胶酶活性有影响,在最适温度下酶活性最高,出汁率最高
(3)在一定条件下,单位时间内、单位体积中反应物的消耗量或者产物的增加量
(4)酵母 促进有氧呼吸,使酵母菌大量繁殖 好氧
38.(15分)
(1)限制性核酸内切酶、DNA连接酶 显微注射 体外培养 胚胎移植
(2)性别、年龄
(3)相同 两种上皮细胞都是体细胞,且来源于同一个受精卵
(4)体外受精、胚胎移植
以上来源:学科网,仅供参考。



