2025届湖南师大附中高三上学期月考卷(三)数学试题及答案
时间:
湖南 数学试题
2025届湖南师大附中高三上学期月考卷(三)数学考试已于近日开考,为方便考生考后及时查看考试情况,查漏补缺、弥补不足,本文整理了试题答案解析相关信息!
汇总:2025届湖南师大附中高三上学期月考卷(三)试题及答案汇总
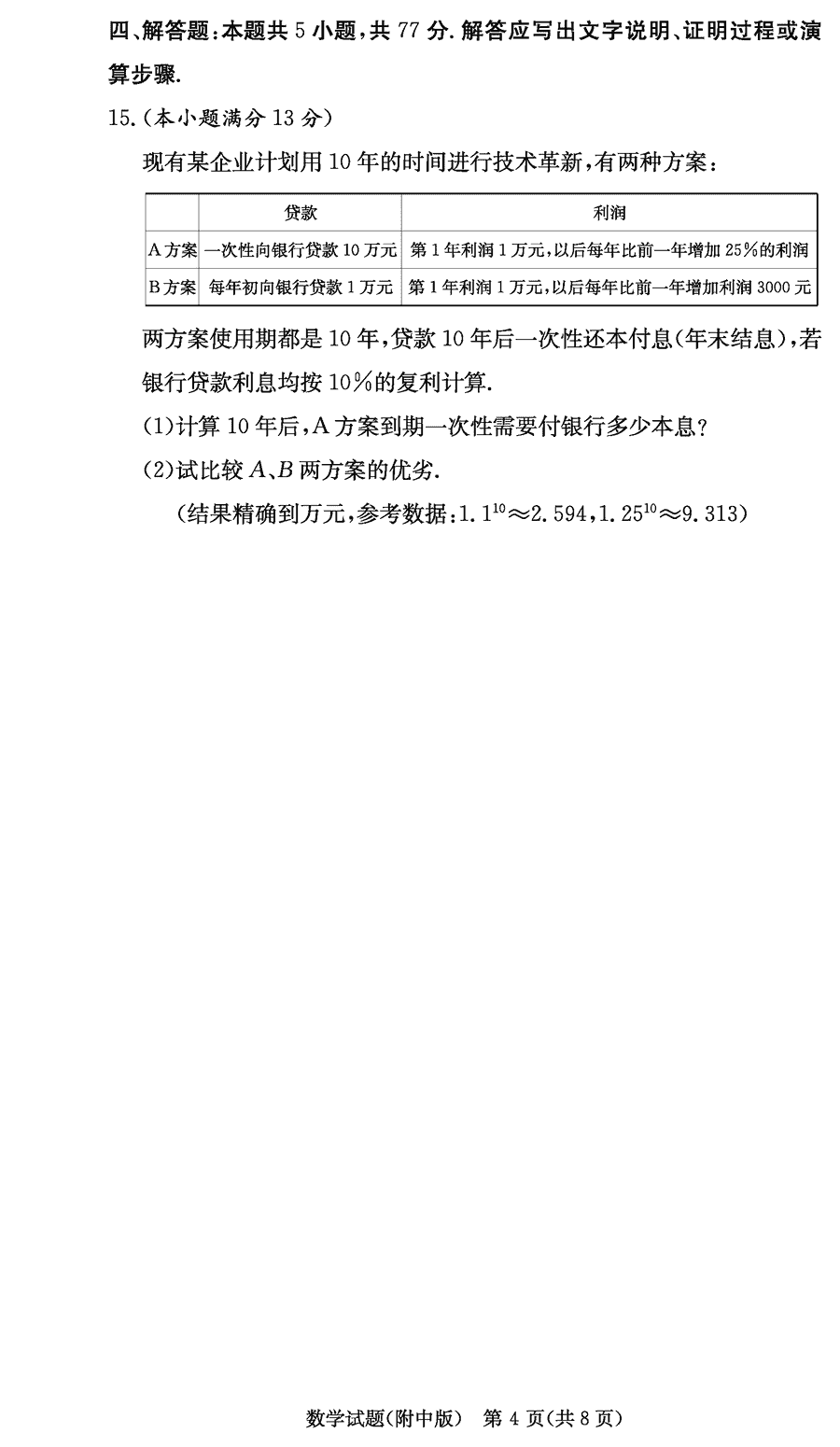
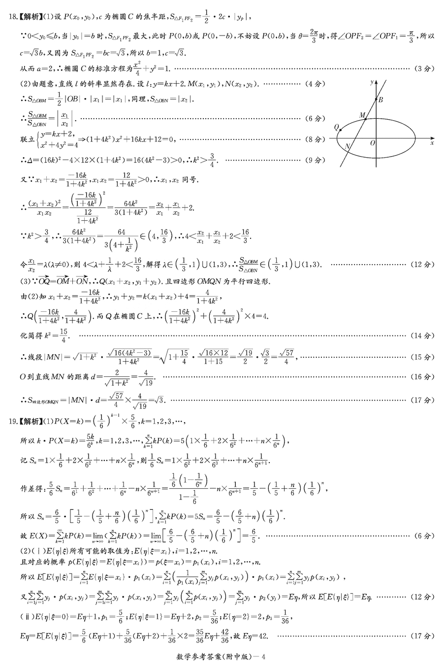
数学试题及答案解析












2025届湖南师大附中高三上学期月考卷(三)数学考试已于近日开考,为方便考生考后及时查看考试情况,查漏补缺、弥补不足,本文整理了试题答案解析相关信息!
汇总:2025届湖南师大附中高三上学期月考卷(三)试题及答案汇总
数学试题及答案解析











