沧州市运东五校2025届高三上学期11月期中数学试题及答案
时间:
河北 数学试题
沧州市运东五校2024-2025学年高三上学期11月期中数学考试已于近日开考,为方便考生考后及时查看考试情况,查漏补缺、弥补不足,本文整理了试题答案解析相关信息!
汇总:沧州运东五校2024-2025学年高三上学期11月期中试题及答案汇总
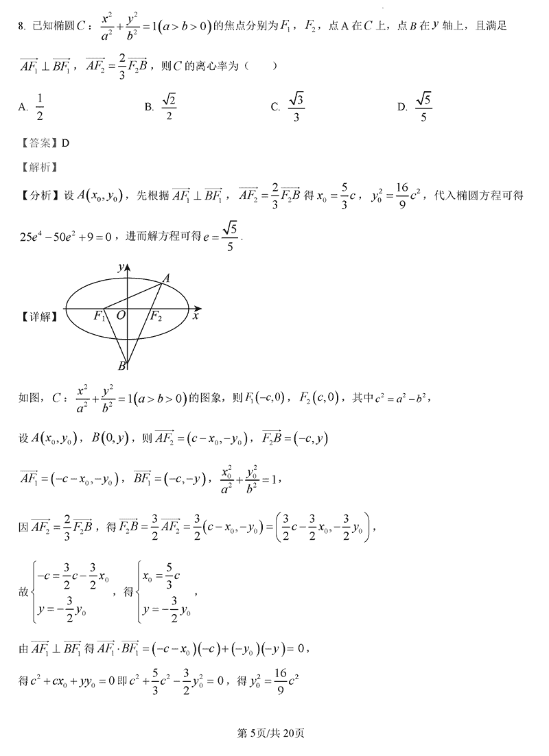
数学试题及答案解析




















沧州市运东五校2024-2025学年高三上学期11月期中数学考试已于近日开考,为方便考生考后及时查看考试情况,查漏补缺、弥补不足,本文整理了试题答案解析相关信息!
汇总:沧州运东五校2024-2025学年高三上学期11月期中试题及答案汇总
数学试题及答案解析



















