南通通州区、如东县2025届高三上学期期中联考数学试题及答案
时间:
江苏 数学试题
南通通州区、如东县2025届高三上学期期中联考数学考试已于近日开考,为方便考生考后及时查看考试情况,查漏补缺、弥补不足,本文整理了试题答案解析相关信息!
汇总:南通市通州区、如东县2025届高三上学期期中联考试题及答案汇总
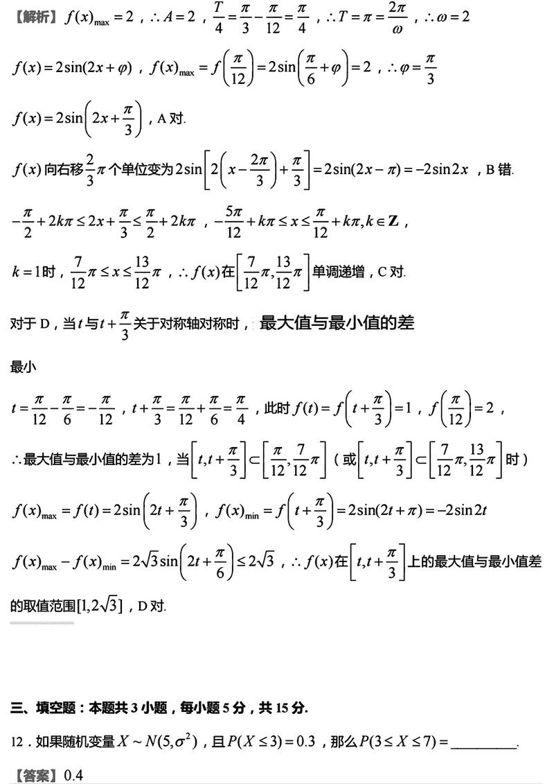
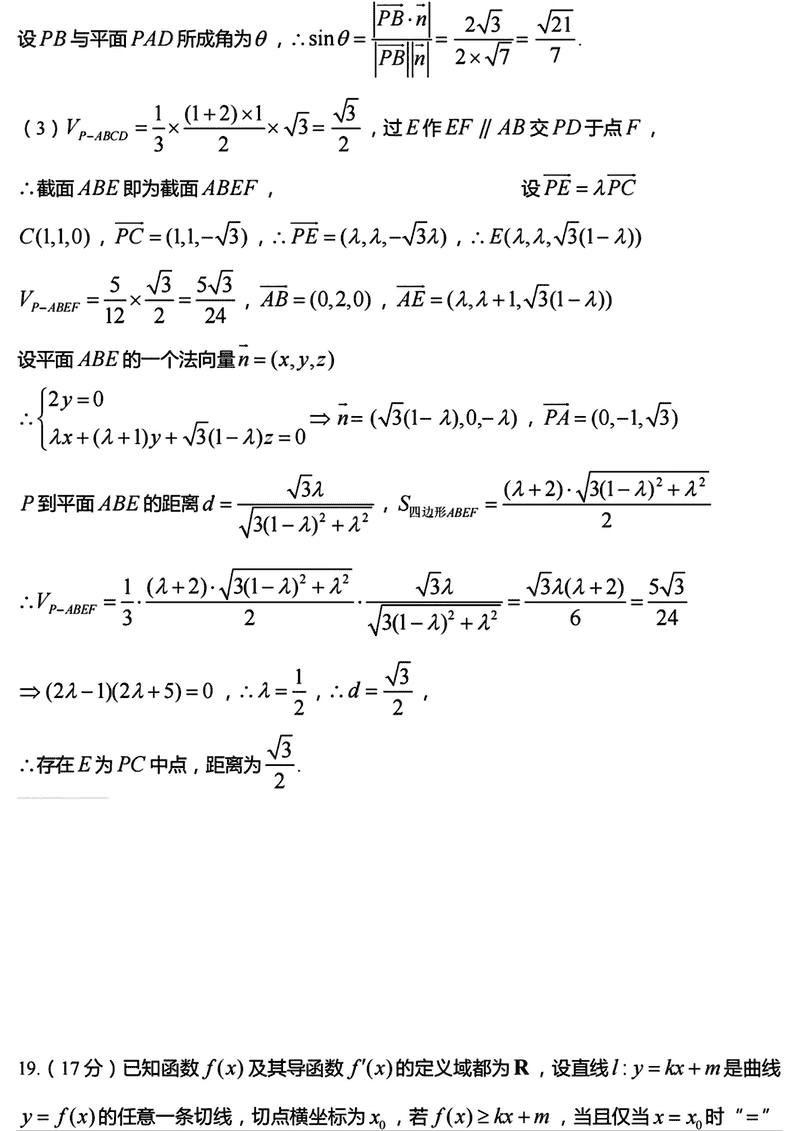
数学试题及答案解析


















南通通州区、如东县2025届高三上学期期中联考数学考试已于近日开考,为方便考生考后及时查看考试情况,查漏补缺、弥补不足,本文整理了试题答案解析相关信息!
汇总:南通市通州区、如东县2025届高三上学期期中联考试题及答案汇总
数学试题及答案解析

















