东北师大附中2024-2025学年高三第二次摸底数学试题及答案
时间:
吉林 数学试题
东北师大附中2024-2025学年高三第二次摸底数学考试已于近日开考,为方便考生考后及时查看考试情况,查漏补缺、弥补不足,本文整理了试题答案解析相关信息!
汇总:东北师大附中2024-2025学年高三第二次摸底考试试题及答案汇总
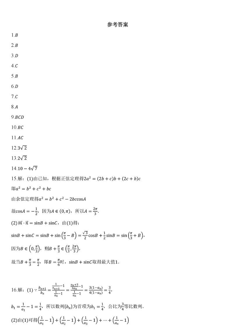
数学试题及答案解析


















东北师大附中2024-2025学年高三第二次摸底数学考试已于近日开考,为方便考生考后及时查看考试情况,查漏补缺、弥补不足,本文整理了试题答案解析相关信息!
汇总:东北师大附中2024-2025学年高三第二次摸底考试试题及答案汇总
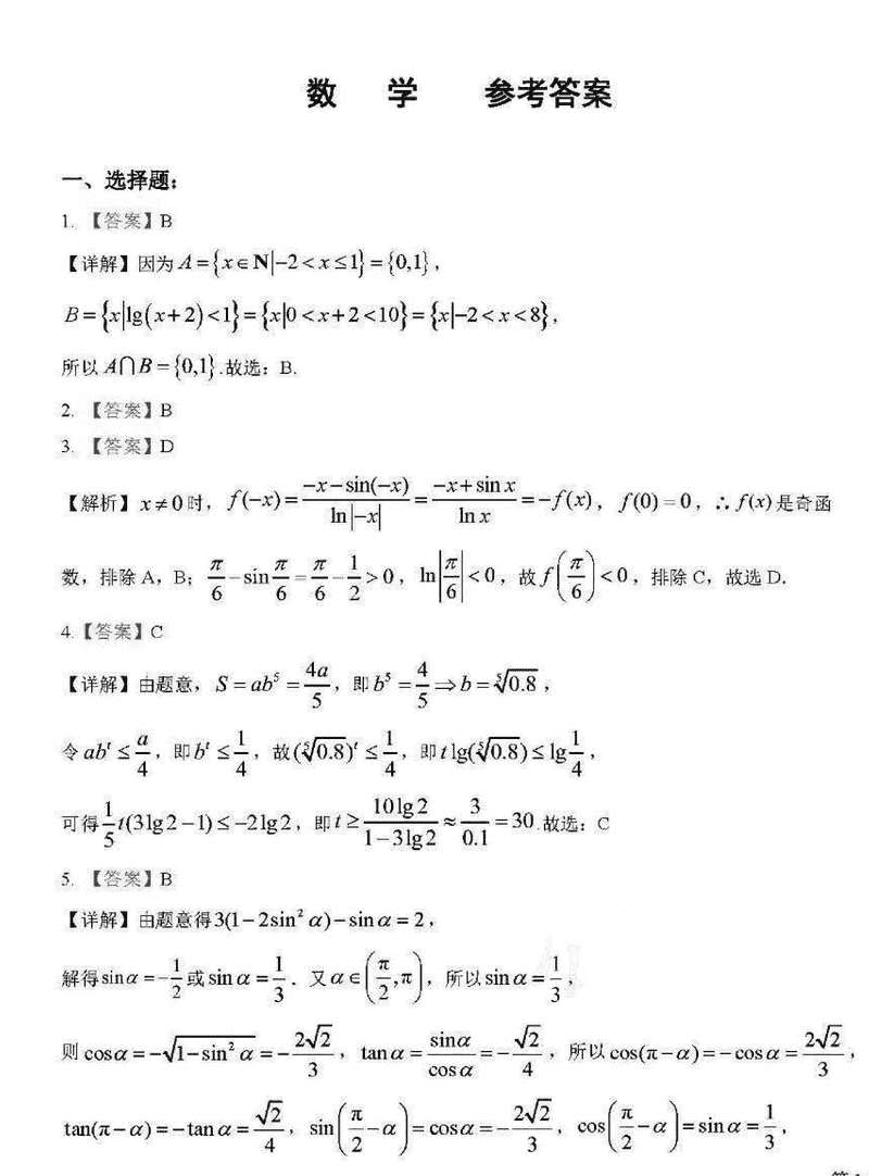
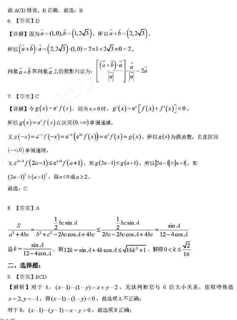
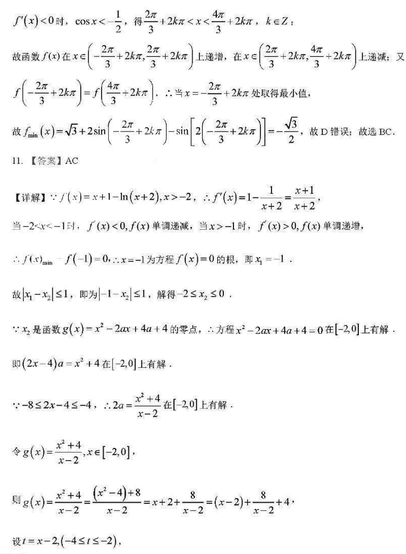
数学试题及答案解析

















