mksports - >江苏高考 >江苏高考试题 >江苏数学试题 >

苏北四市2025届高三第一次调研数学试题及答案

时间: 江苏 数学试题

苏北四市(徐州、宿迁、淮安、连云港)2025届高三第一次调研数学考试已于近日开考,为方便考生考后及时查看考试情况,查漏补缺、弥补不足,本文整理了试题答案解析相关信息!

汇总:苏北四市2025届高三第一次调研测试试题及答案汇总

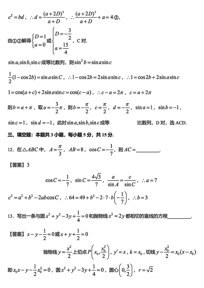
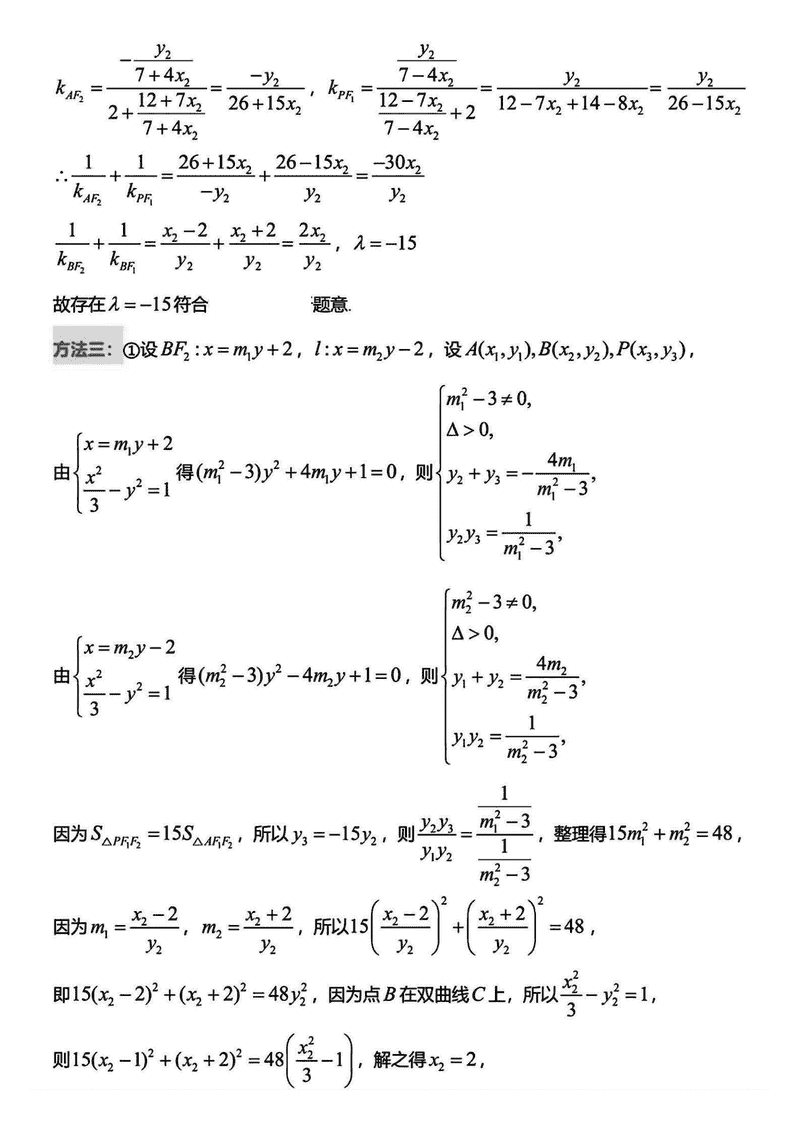
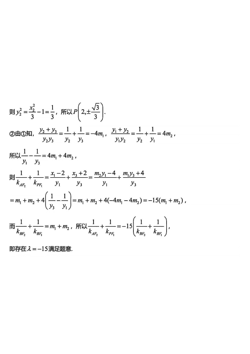
数学试题及答案解析