mksports - >湖北高考 >湖北高考试题 >湖北数学试题 >

黄冈中学2025届高三5月第二次模拟预测数学试题及答案

时间: 湖北 数学试题

2025届湖北省黄冈中学高三下学期5月第二次模拟预测数学考试已于近日开考,为方便考生考后及时查看考试情况,查漏补缺、弥补不足,本文整理了试题答案解析相关信息!

汇总:

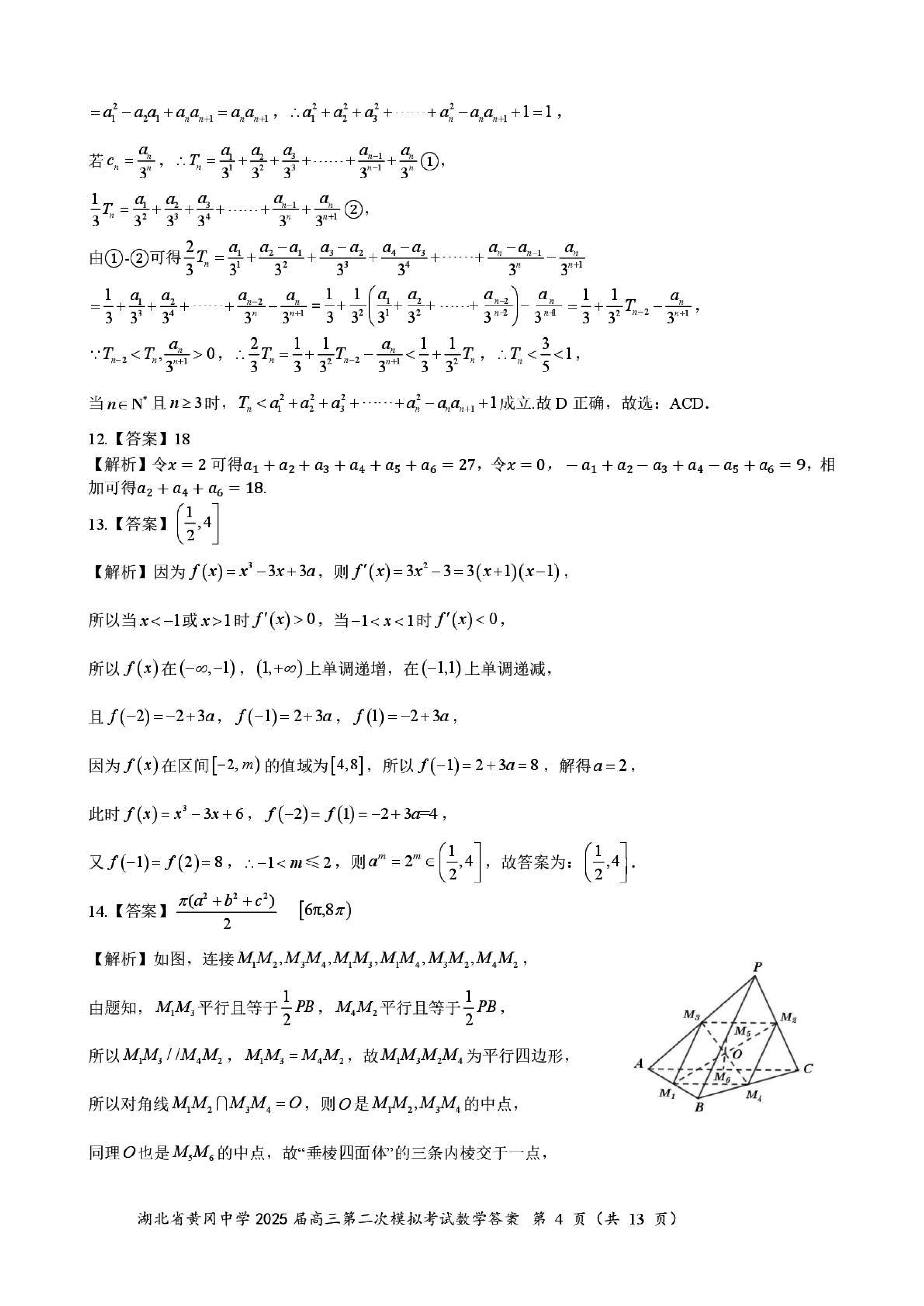
数学试题及答案解析